Anzeige
Meldung des Tages: Eine der spannendsten Gold-Stories 2026 steht ganz am Anfang
Neuester, zuletzt geles. Beitrag
Antworten | Hot-Stocks-Forum
Übersicht ZurückZurück WeiterWeiter
... 181  182  184  185  ...

GME - Short-Squeeze möglich


Beiträge: 7.627
Zugriffe: 3.025.526 / Heute: 231
GameStop Corp 21,02 $ +0,00% Perf. seit Threadbeginn:   +89,99%
 
Roothom:

@mareike

 
12.03.21 14:33
"Roothom, kannst Du mit erklären, was naked calls sind, danke!"

Ungedeckte Kaufoption.

D.h. Verkäufer der Option hat noch nicht genug Aktien, um diese bei Ausübung liefern zu können.

Darauf stellt ja der sog. gamma-squeeze ab, der hier thematisiert wird. Siehe weiter oben und unten...
Antworten

Werbung

Entdecke die beliebtesten ETFs von Xtrackers

Xtrackers MSCI Korea UCITS ETF 1C
Perf. 12M: +86,53%
Xtrackers Spain UCITS ETF 1D
Perf. 12M: +59,87%
Xtrackers Spain UCITS ETF 1C
Perf. 12M: +59,38%
Xtrackers CSI500 Swap UCITS ETF 1C
Perf. 12M: +58,19%
Xtrackers Vietnam Swap UCITS ETF 1C
Perf. 12M: +56,20%

DumboDiesel:

Der Plan für heute:

 
12.03.21 14:33
www.reddit.com/r/wallstreetbets/comments/...b2x&context=3

:-)
Antworten
Gelöschter Beitrag. Einblenden »
#4553

Roothom:

@dumbo

2
12.03.21 15:07
Alles grundsätzlich richtig.

Das Szenario in Sachen short squeeze ist klar. Ob es funktioniert ist offen, da die Datenbasis fehlt, um dies halbwegs genau berechnen zu können.

Ob ein fail-to-deliver vorlag, wäre aus der nächsten Meldung ersichtlich, wo die Zahlen zur 2. Februarhälfte veröffentlicht werden.

Unklar ist aber auch dann die Wirkung der Optionen. Leider sind die Zahlen vom Februar nicht mehr auf der Seite, aber wenn man sich die Zahlen von heute und die Zukunft anschaut, sieht man, dass selbst beim aktuellen Kurs nur etwa 1/4 der Call-Optionen im Geld ist und demnach dafür Aktien geliefert werden müssen (sofern cash-settlement ausgeschlossen ist).

Der Rest verfällt. Und damit würden die Aktien frei, die als hedge dafür bereitlagen. Rein rechnerisch würde es dann genügen, wenn nur 25% der heute verfallenden Optionen gedeckt sind, um nicht eindecken zu müssen.

Auch können frei werdende hedge-Positionen wieder zur Deckung künftiger Optionen verwendet werden.

Hinzu kommen Aktien aus put-Optionen, die angedient werden, weil diese im Geld sind.

All dies ist natürlich schwer zu überschauen, weil viele Variablen dabei eine Rolle spielen.

Sicher ist aber, dass man nicht Optionen zeichnen kann, soviel man will, sondern nur soviele, wie von Emittenten angeboten werden.

Darum liegt es in deren Händen, die Verfügbarkeit von Optionen zu steuern und ggf. zu reagieren, wenn die Kalkulationen kippen.

Ich bin da sehr gespannt, wie es weitergeht und inwiefern Informationen dazu bekannt werden.
Antworten
Bamzillo:

wobei bei ca. 10% der Calls

 
12.03.21 15:17
sich der Optionenkäufer bei Ausübung die Aktie liefern lässt und der Rest nimmt lieber Geld. Deshalb funktioniert diese Masche wahrscheinlich  so prächtig
Antworten
Bamzillo:

Da Citron also ständig Aktien kauft um seine

 
12.03.21 15:21
verkauften Calls zu decken hätten sie genug um so Spässe wie vorgestern zu veranstalten. Wirf 2 Millionen auf den MArkt und kauf unten wieder ein.
Angeblich werden heute 400.000 Calls auslaufen, die bei 350 Dollar in the money wären? Wobei einer davon für 100 Aktien steht. Deshalb war es extrem wichtig das der Kurs nicht so hoch geht und sie werden das vermutlich widerholen um es zu verhindern.
Das habe ich nur aus dritter Hand, mein Affenhirn ist zu klein um das verifizieren zu können.
Aber hört sich logisch an
Antworten
Albiba2103:

Können Sie nicht laut Regel 201 der SEC welche

 
12.03.21 15:24
lautet SSR = Short-Shell-Restriction, wg. dem Dump am Mittwoch
Antworten
Albiba2103:

Sie dürfen nur bei steigenden Kursen nachshorten

 
12.03.21 15:25
Antworten
Bamzillo:

wenn es heute gegen 350 Dollar

 
12.03.21 15:27
geht, würde ich das als steigenden Kurs bezeichnen
Antworten
DumboDiesel:

@Albiba2103:

 
12.03.21 15:28
Richtig. Und der Short Sale Rule wegen dem kleinen Dump zum Handelsbeginn gestern ;-)
Antworten
Albiba2103:

Meiner Meinung nach schaufeln sich die

 
12.03.21 15:41
HF´s, welche nachshorten ihr eigenes Grab, aus dem augenscheinlich kein entkommen mehr besteht.

Bzw. Sie spielen auf Zeit und versuchen noch so viele Paperhands in die Verkaufspanik zu treiben, um mit einem blauen Auge (wenn das überhaupt noch möglich ist -> ich glaube daran nicht mehr) rauszukommen.

@MareikeS and all other´s die daran glauben:

Stellt ausschließlich hohe Verkaufsorder sin euer Orderbuch.
Ich habe gestaffelt:
10 für 2500 €
10 für 19.999 €
10 für 49.999 €
10 für 69.999 €
10 für 99.999 €
usw. exponentiell nach oben offen.

Laut wallstreetbets-nerds und sonstigen Sheldon Cooper´s, als auch nach Mathematischer Formel meines Stiefsohnes, welcher mir Stop-Loss und Trailing-Stop /-Verbot erteilt hat und das obwohl ich schon 400% vorne liege, soll der Sell-Kurs von Paperhands auf 130.000 USD berrechnet worden sein.

Soviel dazu.....wenn der Mega-Squeeze squeezen tut :-)
Antworten
Roothom:

@bamzillo

 
12.03.21 15:57
": wobei bei ca. 10% der Calls sich der Optionenkäufer bei Ausübung die Aktie liefern lässt und der Rest nimmt lieber Geld."

Davon rede ich ja die ganze Zeit...

Die wo cash gesettled wird, müssen gar nicht eindecken. Genaue Zahlen kennt man nicht, aber bei Deinen angenommenen 10% und meiner o.a. Rechnung, würde es reichen, wenn nur etwa 2% der Optionen gedeckt wären, um einen gamma-squeeze zu verhindern. Das ist realistisch und würde der Argumentation die Grundlage entziehen.  

Klar würden die Verkäufer der Optionen das teuer bezahlen müssen. Aber den Kurs beträfe das nicht. Und sie haben ja vorher die Prämien kassiert, die sehr üppig sind und für jede neue Option wieder reinkommen.

Anhand der Nasdaq Zahlen bin ich auf etwa 200k Kontrakte gekommen, die heute verfallen, davon etwa 3/4 noch aus dem Geld.

Und was Citron betrifft - die sind doch als SL bekannt, nicht als Verkäufer von Optionen.

Wie gesagt, einen möglichen shortsqueeze kann man nicht auschliessen. Ich bezweifle aber, dass man den durch den Kauf von calls triggern kann.

Das geht m.E. nur durch den Kauf der Aktien und deren Verknappung. Und das sehen wir hier aktuell, denke ich.
Antworten
MareikeS:

Diggggggggggg

 
12.03.21 16:06
Antworten
Roothom:

@alibaba

 
12.03.21 16:07
" soll der Sell-Kurs von Paperhands auf 130.000 USD berrechnet worden sein."

Das ist eine nette Rechnung, aber reine Theorie und praktisch ausgeschlossen.

Nimmt man mal an, das 30 Mio Aktien naked short sind und gecovert werden müssen, ergäbe das ca. 4 Billionen $ (also 4.000 Mrd).

Ich wette, dass das niemand zahlen könnte. Die SL würden stattdessen pleite gehen. Dann wäre zwar auch ein Ziel erreicht, aber auch der Kurs würde kollabieren.

Ich finde schon die Rechnung mit den 800$ sehr gewagt - angesichts der bisherigen Erfahrungen ist das aber wohl nicht völlig auszuschliessen...

Antworten
MareikeS:

, Michmädchen auf der Suche nach Aktien?

 
12.03.21 16:11
Antworten
MareikeS:

Die kleinen blassen Männlein

 
12.03.21 16:23
Mit den braunen Kortons vor den Wolkenkratzern finde ich persönlich immer ganz schlimm, viele Mitarbeiter wissen gar nicht, was getrieben wird...


Hoffentlich kommt es nicht so weit, mir tun die Shorter auch ein wenig leiD....
Antworten
MareikeS:

Einen Freischuss gabs

 
12.03.21 16:29
Man hat sich entsprechend verdingt...

Ein zweiten gibts  meiner Meinung nach nicht...
Antworten
Albiba2103:

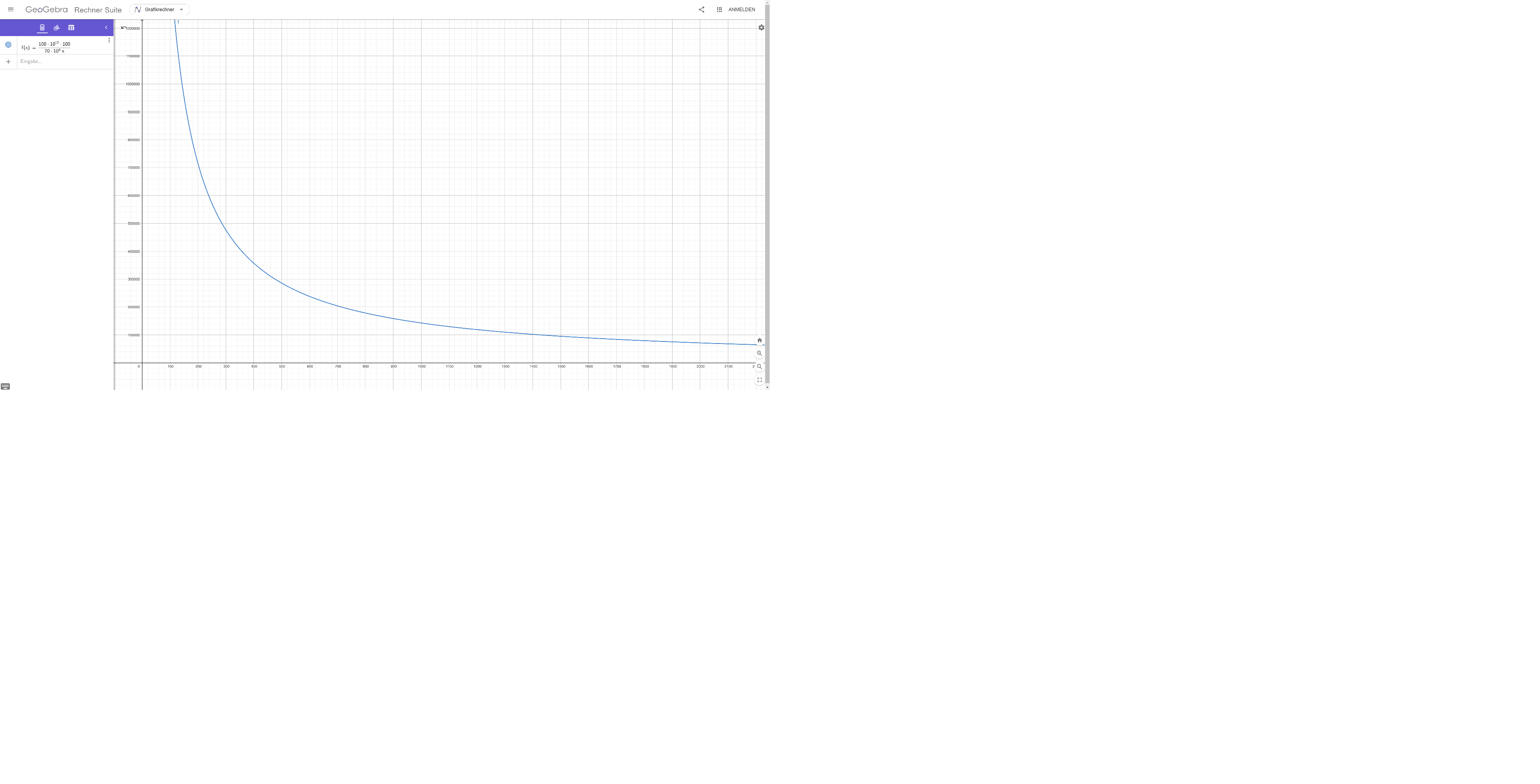
Mathematische Formel:

 
12.03.21 16:30
Zur Erklärung:

Y-Achse ist gleich möglicher Aktienkurs von GME (oder AMC = schlafender Drache / bin ich auch drin)
X-Achse stellt den Prozentsatz der Geshorteten Aktien dar, welcher als Variable X dargestellt werden muss, weil keiner, wirklich keiner genau sagen kann, wieviel wirklich geshortet und gleichzeitig auch gedeckt sind. Hier werden Zahlen vermutet zwischen 250-900 % = Hochgradige Spekulation wir/keiner weiß es genau !!!

Die 100*10Hoch12 stellt das vermutete Kapital (aus Broker, DTCC und (alle)Banken die drin sind) dar, was eine lächerliche Summe von 100 Billionen USD nach unserem Zahlensystem ergibt und bei den Amis eben 100 Trillions USD.

Die 70*10 Hoch6 stellt die Gesamtzahl der herausgegebenen GME-Aktien dar (gerundet) :-)

Das ist die Formel.

Die Grafik ist daher sehr einfach zu lesen:

Alles was unterhalb der Kurve liegt, kann von den Brokern, DTCC und Banken mit Cash= Mega-Verlusten gestemmt/bezahlt werden, im Falle eines Squeezes bei schnell steigenden Aktienkursen.

Alles was oberhalb der Kurve liegt, kann nicht mehr gestemmt werden und würde den Gelddrucker der FED anwerfen und den USD in den Weimarer-Modus schießen und zu einer exorbitanten Geldentwertung führen.......Börsencrash....

Anhand der Grafik kann man erkennen, das ab ca. einem Prozentsatz von ~150% wir oberhalb der Kurve liegen.

Jetzt darf jeder für sich selbst entscheiden wie Hoch die echte Shortquote liegt und wie Hoch er/sie seine Verkaufsorder in sein Orderbuch schreibt...
(Verkleinert auf 14%) vergrößern
GME - Short-Squeeze möglich 1239742
Antworten
MareikeS:

Weiterhin keine

 
12.03.21 16:32
5% Depotliquidatiomssprünge- find ich gut
Antworten
Albiba2103:

@Roothom, bei deiner Annahme sind ja

 
12.03.21 16:40
nicht mal 50% der Aktien Naked-Shorts und selbst wenn so niedrig, dann können die diese lächerliche Summe zahlen (bei meiner Annahme wieviel Cash im Spiel ist)

Und 30 Mio. Short-Aktien widersprechen sich meiner Meinung nach dem bisherigen Gesamtvolumen der  getradeten Aktien in diesem Jahr.

Habs vorhin geschrieben, 36.1 Mal wechselte bei GME schon der Besitzer in diesem Jahr !!!
Antworten
DumboDiesel:

Läuft doch gut

 
12.03.21 16:43
für die HF's. So lange noch Geld da ist würde ich an deren Stelle einen Flug mit Space X buchen.... :-) Vielleicht ist es auf dem Mars sicherer für die ... :-)  
Antworten
MareikeS:

Ein Lied

 
12.03.21 16:43
www.google.de/...tto.pdf&usg=AOvVaw3-rBFhaIJCVd-YkESKdE68
Antworten
Meli 2:

Dumbo Diesel

 
12.03.21 17:01
Ich fahre heut noch ein Diesel, weil Otto ....Herr Diesel nicht erkannt hat und schon gar nicht aufgeblasene
Musk Muskeln ! ...wie Herr Musk!
Ich habe den ersten Deutschen im All...(Siegmund Jähn) in einem Sport Forum (als junger Sportler)
gehört und eine Frage gestellt: Wie schaut es denn da aus im All?
Seine Antwort: Stottern....und dann, alles nur karge Landschaften..
Hat sich zu getragen: 1983 in Frankfurt/o
Antworten
MareikeS:

Albina, danke für die Mühen!

 
12.03.21 17:37
Antworten
MareikeS:

O,,er wenn ins Epnentielle

 
12.03.21 17:38
Geht, beginnt der Spass
Antworten
Auf neue Beiträge prüfen
Es gibt keine neuen Beiträge.

Seite: Übersicht ... 181  182  184  185  ... ZurückZurück WeiterWeiter

Hot-Stocks-Forum - Gesamtforum - Antwort einfügen - zum ersten Beitrag springen

Neueste Beiträge aus dem GameStop Forum

Wertung Antworten Thema Verfasser letzter Verfasser letzter Beitrag
10 7.626 GME - Short-Squeeze möglich stereotyp72 köln64 07.01.26 17:36
  35 nächste AI Aktie? Settlement HonestMeyer 18.10.24 10:53
  2 Eure Meinung zu Gamestop 22981as5712 Dilettantrader 14.10.24 20:54
  26 nicht zu Vania1973 honzi 22.05.24 11:58
  9 Nur mal zur Info Terminator9 Terminator9 14.05.24 19:54

--button_text--