Anzeige
Meldung des Tages: Freitagabend nachbörslich veröffentlicht – was der Markt erst am Montag sieht
Neuester, zuletzt geles. Beitrag
Antworten | Börsen-Forum
Übersicht ZurückZurück WeiterWeiter
... 21 22 23 25 26 27 ...

Medigene - Sachliche und fachliche Beiträge

Vontobel Werbung

Passende Knock-Outs auf DAX

Strategie Hebel
Steigender DAX-Kurs 4,99 10,00 15,02
Fallender DAX-Kurs 4,95 9,91 14,99
Den Basisprospekt sowie die Endgültigen Bedingungen finden Sie jeweils hier: DE000VK1B3R5 , DE000VH8BS39 , DE000VH9HUU7 , DE000VH33WS3 , DE000VH8NYC7 , DE000VG5YGN5 .Bitte informieren Sie sich vor Erwerb ausführlich über Funktionsweise und Risiken. Bitte beachten Sie auch die weiteren Hinweise zu dieser Werbung.

Beiträge: 20.050
Zugriffe: 5.747.949 / Heute: 998
Medigene AG 0,0456 € -10,24% Perf. seit Threadbeginn:   -99,78%
 
starwarrior03:

brandheiß...

4
25.11.10 12:07
auf der HP von Medigene.. die Präsentation vom Eigenkapitalforum in Frankfurt vom 23.11.10... gucken!!

www.medigene.de/...raesentation~unternehmenspraesentation.html
Antworten

Werbung

Entdecke die beliebtesten ETFs von SPDR


starwarrior03:

Also die neue Präsentation lehnt stark an die zum

4
25.11.10 12:19
Q3 Bericht an, aber man bekommt wieder paar Lebenszeichen aus Martiensried...

So, Maaaahlzeit..
Antworten
starwarrior03:

mal was von EvaluatePharma über MDG...

5
25.11.10 12:54
www.evaluatepharma.com/Universal/...edigene%22},%22_Type%22:5}

hoffe der Link geht..

mal Übersicht daraus..
(Verkleinert auf 90%) vergrößern
Medigene - Sachliche und fachliche Beiträge 361026
Antworten
starwarrior03:

Herrjee..

4
25.11.10 14:48
Kampf um 1,85.. Hoffentlich hälts..
(Verkleinert auf 70%) vergrößern
Medigene - Sachliche und fachliche Beiträge 361047
Antworten
starwarrior03:

Das war ja Punktlandung..

4
25.11.10 20:39
mit dem SK 1,85 genau mal den Widerstand getroffen... War mal ehher ein schwächerer typischer Medigenetag und erst am Ende grad so an den Widerstand gerettet.. Wirds also morgen drauf ankommen, in welche Richtung es weitergeht.. zurück an 1,90 und höher, oder 1,80 und tiefer?

Gruß
Antworten
starwarrior03:

MediGene AG

4
26.11.10 10:16
MediGene AG:Korrektur der Stimmrechtsmitteilung vom 15.11.2010 - MediGene AG: Veröffentlichung gem. § 26 Abs. 1 WpHG mit dem Ziel der europaweiten Verbreitung
Freitag, 26. November 2010 10:04  - Von Quelle: Finanzen.net / Aktiencheck.de AG

MediGene AG /
/
Korrektur der Stimmrechtsmitteilung vom 15.11.2010 - MediGene AG:
Veröffentlichung gem. § 26 Abs. 1 WpHG mit dem Ziel der europaweiten Verbreitung
Verarbeitet und übermittelt durch Hugin.
Für den Inhalt der Mitteilung ist der Emittent verantwortlich. Angaben zum EmittentenName: MediGene AG
Adresse: Lochhamer Strasse 11, 82152 Planegg/Martinsried
Sitz: Martinsried
Staat: Deutschland1) Die Syngenta AG, 4058 Basel, Schweiz, hat uns am 25.11.2010 eine Korrektur
der Stimmrechtsmitteilung gemäß § 21 Abs. 1 WpHG vom 15.11.2010 übermittelt.Korrektur: Der Stimmrechtsanteil der Syngenta AG an der MediGene AG hat am
12.10.2010 die Schwelle von 3 % unterschritten und betrug am Tag der
Schwellenberührung 2,94 %. Dies entspricht 1.091.576 Stimmrechten.2) Die Syngenta Crop Protection AG, 4058 Basel, Schweiz, hat uns am 25.11.2010
eine Korrektur der Stimmrechtsmitteilung gemäß § 21 Abs. 1 WpHG vom 15.11.2010
übermittelt.Korrektur: Der Stimmrechtsanteil der Syngenta Crop Protection AG an der MediGene
AG hat am 12.10.2010 die Schwelle von 3 % unterschritten und betrug am Tag der
Schwellenberührung 2,94 %. Dies entspricht 1.091.576 Stimmrechten.Planegg-Martinsried, 26.11.2010Der VorstandAnsprechpartner bei Rückfragen:
Investor Relations Dr. Georg Dönges. Tel.: 089/8565-2946
e-mail:investor@medigene.com[HUG#1466035] --- Ende der Mitteilung --- MediGene AG
Lochhamer Strasse 11 Martinsried / München DeutschlandWKN: 502090;ISIN: DE0005020903;
Antworten
twotto:

sk X

 
26.11.10 17:38
Aktuell
1,86
Zeit
26.11.10 17:36:19
Diff. Vortag
+0,54 %
Tages-Vol.
304.562
Geh. Stück
165.896

17:36:19 1,86 1965

und dann noch TH

allen ein scheenes WE
Antworten
starwarrior03:

Huij.. Danköööö Twotto...

3
26.11.10 22:40
Schon erstaunlich was da die letzten 2h nochmal an Umsatz "ging".... Und wieder über 1,85 geschlossen.. Na wenn das ma keine Hoffnung macht... *froi*

Ebenso schönes WE @ all und WO´ler drüüübee... ;o)
Antworten
starwarrior03:

Optionsstatistik der Woche und des Monats...

4
27.11.10 00:21
und am Mo gibts nen neuen Put der Cobank..

WKN: CM7R5Y
ISIN: DE000CM7R5Y8

mit KO 2,20.. soviel sei schon mal verraten..
(Verkleinert auf 72%) vergrößern
Medigene - Sachliche und fachliche Beiträge 361473
Antworten
ar1980:

m

 
29.11.10 10:50

Hab gerade im Wilex Forum gelesen das die bis zum 1. Quartal 2011 durchfinanziert sind. Und gerade Finanzierungsmöglichkeiten prüfen. Aber keine KE vorbereiten.

Antworten
celmar:

Medigene ist noch länger durchfinanziert

2
30.11.10 09:48
Aber das interessiert bei den Anlegern wohl im Moment nicht wirklich.

Das große Warten auf die News um EndoTAG geht weiter. Dabie sieht es nun wieder etwas besser aus. Verengen scheint sich absatzseitig gut entwickeln und kann sicherlich in Zukunft Ergebnisbeiträge abliefern genau wie Eligard. Der Rest Kohle muss sinnvoll investiert werden um irgendwie aus den laufenden Programmen ein ertragreiches Produkt heraus zu bekommen.

Ab 2011 werden allerdings die Fixkosten stark gemindert sein. Das wird sich in jedem Fall bemerkbar machen.
Antworten
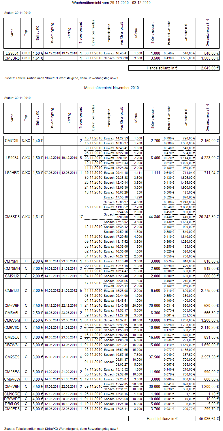
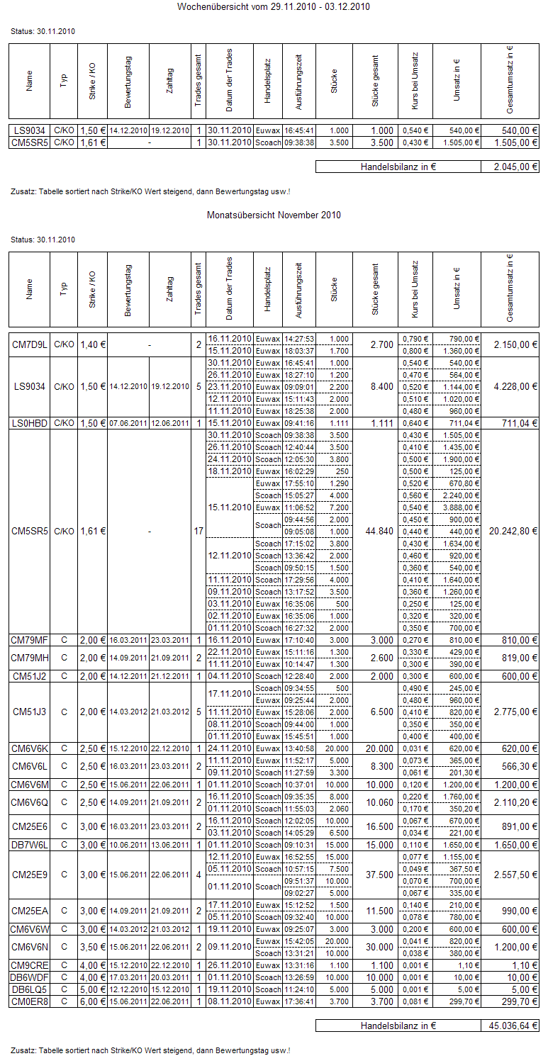
starwarrior03:

Optionsstatistik der Woche und des Monats...

4
30.11.10 21:32
(Verkleinert auf 72%) vergrößern
Medigene - Sachliche und fachliche Beiträge 362352
Antworten
starwarrior03:

Optionsstatistik 4.Quartal...

4
30.11.10 21:33
(Verkleinert auf 72%) vergrößern
Medigene - Sachliche und fachliche Beiträge 362354
Antworten
starwarrior03:

Optionsstatistik der Woche und des Monats...

5
04.12.10 01:26
(Verkleinert auf 72%) vergrößern
Medigene - Sachliche und fachliche Beiträge 363325
Antworten
celmar:

@star

 
05.12.10 20:15
nimm es mir nicht übel, aber diese vielen Optionsscheinstatistiken sind nicht wirklich informativ. Es gibt zwar nicht viel zu vermelden im Moment aber dann ist es eben so. Keine News heißt zumindest keine negativen News.
Im Moment habe ich das Gefühl man macht bei Medigene sein Arbeit. Und auch wenn bis Jahresende keine Neuigkeiten zu möglichen Partnerschaften, muss das nicht schlecht sein. Es läuft halt nicht rund, aber es gibt immerhin auch Positives, wie die zuletzt veröffentlichten Quartalszahlen.
Warten wir also einfach mal ab.
Antworten
cangal:

alles durchfinanziert ?

2
06.12.10 20:46

hallo Celmar

deine Info,dass MDG weiter gut durchfinanziert ist, hat mich sehr beruhigt. Der heutige Kracher im Kursbild hat mich aber

umgehauen. Aber wie es heute scheint ,hat sich schon mal ein Insider um 15:03 seiner 35000 Stücke (xetra)  schleunigst ohne

Limit entledigt. Es muss eine saumässige Meldung aus USA gewesen sein.

Dieser Stachel im Chart lässt schlechtes erahnen !!!

Antworten
celmar:

das ging es schön zur sache

 
06.12.10 22:28
Man sieht aber auch, das sich der Kurs sofort wieder erholt hat. Die Frage ist, warum wirft einer 35K unlimitiert auf deen Markt. Gestückelt und in kleineren Tranchen hätte man einen wesentlich besseren Kurs bekommen können.

Vielleicht steckt ja wirklich ein Insider dahinter. Aber selbst dieser Personenkreis ist oft nicht in der Lage den Wert von Meldungen und Informationen angemessen zu bewerten.

Woher das Material kommt ist allerdings aus meiner Sicht nicht wirklich klar. Vielleicht ist auch irgendein 2. klassiger Hedgfonds in den USA gezwungen gewesen Papier zu Cash zu machen. Zum Jahresende sollte man sowas nicht überbewerten.

Dennoch macht mich das Ganze ähnlich stutzig.
Antworten
starwarrior03:

meine Meinung dazu ist...

3
07.12.10 06:31
es schwirren im Moment ziemlich viele Optionen umher, die sehr bald verfallen!! Die Aktie wird seit tagen daran gehindert auf über 2 Eu zu steigen, womit ein paar Scheine dann im Geld wären...

Da wird doch jeden tag was in den Brief geschoben zum Deckeln.. Konnte man doch gestern wieder beobachten.. frühs war der Brief von 1,98-2,045 gefüllt, danach kamen die Blöäcke wieder, schön aufgeteilt... Immer so mit 10K, 20K usw.. Das sich der Kurs aber so schnell wieder gefangen hat, zeigt aber auch, das Interesse da ist zu höheren Kursen sofort wieder zu kaufen..

Meiner Meinung nach war der "kleine" Rutsch erzwungen worden! Ist doch so einfach mit der Aktie rumzudillern...
Antworten
celmar:

und wer bezahlt das "rumdiller"

3
07.12.10 12:24
Wer bezahlt die ganze Transaktionsgebühren. Und wer hat als einzelner die Möglichkeite von der Summe an Dillerei zu profitieren.

Wer ein Optionsgeschäft eingeht der deckt es in der Regel vorher weil sonst das Risiko sehr groß werden kann.

Sobald bei Medigene die langfrsitige Story sichtbar wird, geht es wieder aufwärts mit der Aktie. Vorher heißt es: Nicht News machen Kurse sondern Kurse machen News.
Antworten
celmar:

irgendetwas ist im Busch

 
08.12.10 12:30
Entweder es stehen News an oder die Shorties decken zum Jahresende ihre Positionen ab.
Antworten
starwarrior03:

schöner Tag, dieser 08.12....

2
08.12.10 13:06
(Verkleinert auf 70%) vergrößern
Medigene - Sachliche und fachliche Beiträge 364329
Antworten
starwarrior03:

hab mal durchgeklickert..

3
08.12.10 14:10
Also News oder Analysen oder dergleichen 0,nix..

Aber irgend einen grund wird dieser Ansteig schon haben..

Bis gestern hinderte ja ein KO Put auf 1,98 den Anstieg der tage zuvor, dann zum SK gestern das Todesurteil für den Schein.. Und seit 10:30 rum drückt plötlich einer auf den Kaufbutton..

Umsätze passen, Kurs steigt, 2,05 durchstoßen, welches das Hoch der letzten Aufwärtsbewegung war und nun sozusagen auch als erster Widerstand nach unten gilt.. War übrigens auch der Techreversepunkt.. nun erst mal kleine Verschnaufspause??

Supi..
Antworten
Ihrefelder:

schöner Tag, dieser 08.12....???

8
08.12.10 18:24
Freut mich für Dich, Starwarrior, dass Du so einen schönen Tag hattest!

Hat leider überhaupt nix mit dem heutigen Aktienverlauf zu tun - der war wahrlich nicht prickelnd....11 Cent vom Tagshoch verloren - grrmpfft!

Klitzekleines Strohfeuer - naja, vielleicht kommt ja was nach in den nächsten Tagen (News - weitere Käufe)?
Antworten
starwarrior03:

bin ja auch nicht mehr so "erfreut"..

2
08.12.10 18:42
5% vom TH wieder verloren.. *seufz*

Naja, das knacken des techreverse auf SK Basis wurde gescheiht verhindert, weil dann hätte ma ein deutliches Kaufsignal bis 2,18/20 gehabt.. Dnaach 2,39.. Aber das soll wohl nicht so sein...

Nachbörslich siehts ja etwas "vertretbarer" wieder aus mit dem Kurs.. Da "wirken" eben die Computerprogramme nicht so wie auf Xetra.. :o(
Antworten
Ihrefelder:

2,18 - 2,20 €

7
08.12.10 19:09
2,18 - 2,20 € wären schon nett!

Wenn Du  noch einmal ;-) eben ca. 150.000 € klein hast, dann schaffen wir das Kursziel morgen, Starwarrior!

Soviel wurde heute ungefähr eingesetzt, um den Kurs von 1,97 € bis 2,12 € hochzuhiefen.

Geschah in 3 Wellen - 10:30 Uhr, 11:30 Uhr und 13:00 Uhr - immer Pakete zu ca. 25.000 Stücken!

Also - darfst ruhig morgen noch einmal wieder kommen und kaufen, lieber, guter Nikolaus Starwarrior!

Ne neue Yacht brauchste bei dem Scheißwetter eh nicht!

Also kauf mal schön, ich schick Dir auch ne Karte aus der schönsten Stadt Deutschland .....vom Kölner Dom!
Antworten
Auf neue Beiträge prüfen
Es gibt keine neuen Beiträge.

Seite: Übersicht ... 21 22 23 25 26 27 ... ZurückZurück WeiterWeiter

Börsen-Forum - Gesamtforum - Antwort einfügen - zum ersten Beitrag springen
Vontobel Werbung

Passende Knock-Outs auf DAX

Strategie Hebel
Steigender DAX-Kurs 4,99 10,00 15,02
Fallender DAX-Kurs 4,95 9,91 14,99
Den Basisprospekt sowie die Endgültigen Bedingungen finden Sie jeweils hier: DE000VK1B3R5 , DE000VH8BS39 , DE000VH9HUU7 , DE000VH33WS3 , DE000VH8NYC7 , DE000VG5YGN5 .Bitte informieren Sie sich vor Erwerb ausführlich über Funktionsweise und Risiken. Bitte beachten Sie auch die weiteren Hinweise zu dieser Werbung.

Neueste Beiträge aus dem Medigene Forum

Wertung Antworten Thema Verfasser letzter Verfasser letzter Beitrag
19 12.011 Medigene - Kurse/Quatschen/Charts/Einzeiler..u.s.w. RichyBerlin RichyBerlin 16.01.26 23:53
3 124 Medigen Anstieg nur heisse Luft ? Byblos MEX21 24.12.25 23:24
  70 Medigene kauft Munich Biotech! ipollit MEX21 02.05.25 19:46
63 20.049 Medigene - Sachliche und fachliche Beiträge starwarrior03 RichyBerlin 28.03.25 22:03
  8 Ab jetzt 1000 % - Der ultimative Talk Justachance Terminator9 06.09.24 09:42

--button_text--