Anzeige
Meldung des Tages: Warum Kupfer und Silber aus Nevada plötzlich wieder im Fokus stehen könnten
Neuester, zuletzt geles. Beitrag
Antworten | Börsen-Forum
Übersicht ZurückZurück WeiterWeiter
... 114  115  117  118  ...

Die Bullen scharren gar nicht mit den Hufen,

Vontobel Werbung

Passende Knock-Outs auf DAX

Strategie Hebel
Steigender DAX-Kurs 5,00 10,01 15,00
Fallender DAX-Kurs 5,00 10,00 15,00
Den Basisprospekt sowie die Endgültigen Bedingungen finden Sie jeweils hier: DE000VK1QRL5 , DE000VK2CTQ8 , DE000VH9VQZ5 , DE000VH33WV7 , DE000VG8LYG3 , DE000VG58E95 .Bitte informieren Sie sich vor Erwerb ausführlich über Funktionsweise und Risiken. Bitte beachten Sie auch die weiteren Hinweise zu dieser Werbung.

Beiträge: 25.669
Zugriffe: 2.922.571 / Heute: 164
Dt. Postbank
kein aktueller Kurs verfügbar
 
DAX 24.842 -0,03%
Perf. seit Threadbeginn:   +293,61%
 
Trüffelschwei.:

Na gut

 
03.09.08 11:34
ich versuch' mal die Wiederbelebung mit nem kleinen Long ....

Pichel, ich hoffe, Du hast nen Schirm mit ..?!? Und wieso kommst Du im Park ins Internet ?
Man muß ein Schwein sein
Antworten

Werbung

Entdecke die beliebtesten ETFs von Xtrackers

Xtrackers MSCI Korea UCITS ETF 1C
Perf. 12M: +106,56%
Xtrackers CSI500 Swap UCITS ETF 1C
Perf. 12M: +56,55%
Xtrackers Spain UCITS ETF 1D
Perf. 12M: +55,01%
Xtrackers Spain UCITS ETF 1C
Perf. 12M: +54,70%
Xtrackers ATX UCITS ETF 1C
Perf. 12M: +53,64%

Pichel:

Schirm fliegt mir heute fort!

2
03.09.08 11:35
die haben seit neuestem 2 InternetComputer für umsonst
"Worüber die Trader in den Foren im Internet meist diskutieren ist zwecklos. In der Regel sind Methoden, die Schweigen umgibt, häufig Gold." (Emilio Tomasini)

Gruß Pichel
Antworten
Trüffelschwei.:

Ah so,

 
03.09.08 11:37
lässt also den Kleinen alleine spielen, Du Rabenvater !! Amüsierst Dich stattdessen mit Frau Ariva :-))
Man muß ein Schwein sein
Antworten
camalco:

Q pichel

 
03.09.08 11:40
dann zieh dich mal warm an..... viel spaß
Antworten
Poelsi7:

Mal auf die US-Futures geschaut?

2
03.09.08 11:43
gleich kommt der Rutsch bis wo auch immer um dann mit dem Aufwachen der Amis wieder rasant zu drehen. Ist doch Gang und Gebe die letzten Tage. Grüner US Future bis Handelsbeginn in US = Rot zu Börsenschluß in US, und roter US Fut = grüner Handelsausgang in US. Momentan immer die gleiche Leier mit schönen volatilen 100 Pkt. im Dax. Herrlich...
Klappt natürlich auch nicht jeden Tag, aber wenn man die Zeit hat kann man an solchen Tagen zweimal Geld verdienen, da stört es dan auch nicht wenn man mal an einem Tag komplett daneben liegt.

Good Luck allen,
Poelsi
Antworten
loshamoon:

jetzt werden bald die 6390 getestet......

 
03.09.08 11:47
......wahrscheinlichkeit bei 78 prozent.
Antworten
Trüffelschwei.:

los

 
03.09.08 11:48
nach welcher mathematischen Formel berechnest Du die Wahrscheinlichkeit für das angenommene Kursziel ?
Man muß ein Schwein sein
Antworten
loshamoon:

einen moment ich zeige sie dir gleich....

 
03.09.08 11:49
Antworten
Maxgreeen:

zweiter Versuch ( Gewinne von gestern verjubeln )

 
03.09.08 11:57
LS2D08 KK 1,46  Sl 1,19 (verkauft) # 2817
LS2D08 KK 1,37  SL 1,08 (Tagestief)
Antworten
loshamoon:

hier ist die formel....

2
03.09.08 11:58
.....

Die Bullen scharren gar nicht mit den Hufen, 184006
Antworten
Trüffelschwei.:

Danke, los,

 
03.09.08 11:59
aber was bedeuten die Variablen ?
Man muß ein Schwein sein
Antworten
loshamoon:

die formel habe ich....

 
03.09.08 11:59
...gestern hier ausführlich erklärt.....
Antworten
sblo:

los

4
03.09.08 12:00
des is aber nur 'ne standardabweichung und noch keene wahrscheinlichkeit.
-
"Die Märkte können länger irrational bleiben als man selber liquide." John Maynard Keynes
Antworten
Hanfi:

klassische standartabweichung

 
03.09.08 12:02
.
Antworten
loshamoon:

bravo...... gut erkannt.....

 
03.09.08 12:02
....annahme: gaußsche normalverteilung....

soll ich es noch mal erklären?  
Antworten
loshamoon:

okay kommt gleich... einen moment

 
03.09.08 12:03
Antworten
Bruno Eisentr.:

losha

 
03.09.08 12:03
handelst du danach? Diese Systeme sind alle für den ...

Kann man gutgehen, ist aber BLÖDSINN.

Wo ist der Anknüpfungsknüpfungspunkt? Wo die Schnittstelle zur Börse? Das es da auch Zahlen gibt? Das kann nicht dein Ernst sein.
Antworten
fumf:

@loshamoon

3
03.09.08 12:04
nicht vergessen, dass das Einzige was die Kurse bewegt die Kauf und Verkaufsorders sind - Nicht die Fundamentaldaten. Vorsichtig sein.
mfg
Antworten
loshamoon:

listen closely

2
03.09.08 12:14


ausgangsbasis sind die täglichen differenzen in den natürlichen logarithmen des betreffenden indizes, dax oder dow.

die indexzahlen kann man sich runterladen. um den logarithmus für die indexzahl jedes einzelnen tages zu erhalten benutze ich excel.

den logarithmus jedes tages zieht man von jenem des folgenden tages ab, um so die grössenordnung der täglichen preisänderungen zu erhalten.

ich nehme an, das diese änderungen der gausschen normalverteilung entsprechen und benutze die formel zur berechnung der gesamtvarianz einer gausschen zufallsvariablen an..das ist die formel von oben.

durch die standardabweichung weiss ich wie weit die indexhöhe sich von einem tag auf den anderen typischerweise ändert..

im nächsten schritt berechne ich wie atypisch jeder einzelne tag mit einem crash war. dabei definiere ich crash im dax plus minus 100 punkte.

um das zu berechnen muss ich wissen, wieviele standardabweichungen jeder crash vom durchschnittswert entfernt war. dazu habe ich eine z-gleichung:

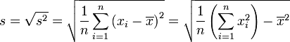
z= xi-x/s

mit diesem z-wert für jeden crash lassen sich dann zuletzt die chancen  für das eintreten eines solchen ereignisses abschätzen mittels wahrscheinlichkeiten.

basis von allen ist die standardabweichung.
Antworten
bull2000:

Long DAX bei 6458, Stopp ca. TT, Z Gap Close+ x

2
03.09.08 12:15
"Das Reich der Freiheit beginnt in der Tat erst da, wo das Arbeiten, das durch Not und äußere Zweckmäßigkeit bestimmt ist, aufhört."
(Karl Marx)
Antworten
Trüffelschwei.:

Habe gerade mal gegoogled

2
03.09.08 12:16
Die Gauß'sche Normalverteilung wird zur Beschreibung zufälliger Vorgänge bei verscheidenen Faktoren, die in unterschiedlicher Richtung wirken, angewandt. ME bei der Beschreibung von Prognosen bei Börsen nur sehr eingeschränkt anwendbar, also bei einer kontinuierlichen Ausgangslage und "zufälligen" bewegungen.
Man muß ein Schwein sein
Antworten
loshamoon:

@trüffelschwein....

 
03.09.08 12:18
....alle banken arbeiten mit der normalverteilung!!!!!!!!!!!!
Antworten
Trüffelschwei.:

Immerhin ein

 
03.09.08 12:19
inetressanter Ansatz. Versicherungen berechnen zB damit die Wahrscheinlichkeit von bestimmten Versicherungsschäden.
Man muß ein Schwein sein
Antworten
Trüffelschwei.:

Gut, ich will das nicht

 
03.09.08 12:23
weiter vertiefen; aber interessant sollte auch die Zeitkomponente sein, und die geht in die Rechnung doch nicht ein ?!

Für mich als Investor/ Spekulant ist interessant, wo der Index heute steht und in etwa einer Woche ..
Man muß ein Schwein sein
Antworten
loshamoon:

ich verzichte auch auf die grösse handelsvolumen

 
03.09.08 12:26
Antworten
Auf neue Beiträge prüfen
Es gibt keine neuen Beiträge.

Seite: Übersicht ... 114  115  117  118  ... ZurückZurück WeiterWeiter

Börsen-Forum - Gesamtforum - Antwort einfügen - zum ersten Beitrag springen
Vontobel Werbung

Passende Knock-Outs auf DAX

Strategie Hebel
Steigender DAX-Kurs 5,00 10,01 15,00
Fallender DAX-Kurs 5,00 10,00 15,00
Den Basisprospekt sowie die Endgültigen Bedingungen finden Sie jeweils hier: DE000VK1QRL5 , DE000VK2CTQ8 , DE000VH9VQZ5 , DE000VH33WV7 , DE000VG8LYG3 , DE000VG58E95 .Bitte informieren Sie sich vor Erwerb ausführlich über Funktionsweise und Risiken. Bitte beachten Sie auch die weiteren Hinweise zu dieser Werbung.

Neueste Beiträge aus dem Deutsche Postbank Forum

Wertung Antworten Thema Verfasser letzter Verfasser letzter Beitrag
138 25.668 Die Bullen scharren gar nicht mit den Hufen, aktienspezialist aktienspezialist 25.04.21 10:42
8 251 Postbank....wann kommt Übernahmeangebot? brokeroderpoker flipp 31.08.15 08:55
  20 Mein Depot 2012 randomwalk steven-bln 08.04.15 12:58
    Die Pleite am Kap Balu4u   01.03.11 17:49

--button_text--