
Sehr geehrte Leserinnen und Leser,
noch immer wirken die Uran-Spotpreise von rund 65,- US-Dollar pro Pfund wie ein stabiler Anker im Chaos. Doch dieser Preis erzählt nur die halbe Wahrheit – denn hinter den Kulissen wächst ein strukturelles Defizit heran, das sich bald in seiner ganzen Sprengkraft entladen könnte.

Quelle: UxC, TD Cowen
Jahrelang lebte der Uranmarkt von Lagerbeständen – ein stilles Polster, das die Illusion eines funktionierenden Gleichgewichts aufrechterhielt. Doch jetzt ist dieses Polster aufgebraucht. Die Lagerbestände sind auf unter drei Prozent des globalen Angebots gefallen – ein Niveau, das selbst konservative Marktteilnehmer als kritisch bezeichnen. Transaktionen am Spotmarkt bleiben zögerlich, während langfristige Verträge nach wie vor hinter dem Verbrauch zurückbleiben. Was daraus folgt, ist nichts weniger als ein unausweichlicher Angebotskollaps.
Und dennoch herrscht eine kollektive Illusion im Markt: Analysten und Versorger kalkulieren mit Produktionsvolumina, die weder zeitlich noch technisch realistisch sind. Selbst Projekte wie ‚Rook I‘, ‚Tumas‘ oder ‚Etango‘ mögen in Präsentationen bald liefern – in der Realität jedoch braucht es Genehmigungen, Infrastruktur, Kapital, Fachkräfte und vor allem: Zeit. Selbst mit politischem Rückenwind kann keine dieser Minen binnen weniger Jahre in Massenproduktion gehen.

Quelle: Eigenbearbeitung
Das Problem liegt nicht nur in der Geologie oder Technik, sondern in der fragmentierten Industrie selbst. Jahrzehntelange Baisse haben Know-how und Kapitalbasis ausgehöhlt. Veteranen wie Dustin Garrow und David Cates sprechen offen von „gefährlich optimistischen Erwartungen“ und warnen vor einer massiven Fehlwahrnehmung: Was heute nach reichem Angebot aussieht, ist oft dasselbe Pfund Uran, das gleichzeitig mehreren Versorgern angeboten wird. Eine optische Täuschung mit potenziell katastrophalen Folgen.
Gleichzeitig eskalieren die geopolitischen Risiken. China hat den Export von Seltenen Erden gestoppt. Russland bleibt ein unkalkulierbarer Faktor in der Brennstoffversorgung. Und Kasachstan – Lieferant Nummer eins – steht zwischen den Machtblöcken. Noch mögen Uranimporte zollfrei sein. Doch wie lange noch?
Die Dynamik ist eindeutig: Die Nachfrage ist nicht mehr die offene Frage – sie ist Realität. Der Knoten liegt im Angebot. Und dieser Knoten wird sich erst lösen, wenn die Uranpreise deutlich über die 100,- US-Dollar-Marke steigen, und zwar dauerhaft, nicht nur punktuell.

Uran Chart einfügen
Institutionelle Käufer verhalten sich bislang zurückhaltend. Doch Experten wie Mike Alkin sehen die Zündschnur: Sobald ein großer Versorger öffentlich einen Liefervertrag meldet, kippt die Stimmung. Die ‚FOMO‘-Welle (‚Fear of Missing Out‘) wird losbrechen und der Markt in Panik geraten, was für Uran historisch stets explosive Preisschübe bedeutete.
Wir stehen an einem Wendepunkt. Die Ruhe ist trügerisch. Das Zeitfenster, um in eine strategische Energiequelle zu investieren, die nicht nur klimaneutral, sondern geopolitisch unverzichtbar ist, schließt sich schneller, als viele denken. Wer heute in Uran investiert, spekuliert nicht – er antizipiert das Unvermeidliche. Da ein Uran-Investment für Privatanleger nur begrenzt möglich ist, sollten Investoren hier einen genauen Blick auf IsoEnergy (WKN: A2DMA2) werfen, die Firma, wieder einmal Weltklasse Bohrergebnisse präsentiert hat!
IsoEnergy identifiziert außergewöhnliches Potenzial für zusätzliche Uranmineralisierungen bei ‚Larocque East‘!

Mit dem Abschluss seines rund 6.400 Bohrmeter umfassenden Explorationsprogramms auf seinem Power-Projekt ‚Larocque East‘ im kanadischen globalen Uran-Hotspot ‚Athabasca Becken‘, meldet IsoEnergy (WKN: A2DMA2) gleich multiple Megatreffer. Schaut man auf die rekordverdächtige Ressource von ‚angezeigten‘ fetten 48,6 Millionen Pfund mit grandiosem U3O8-Gehalt von 34,5 % und eine ‚abgeleitete‘-Mineralressource von satten 2,7 Mio. Pfund mit 2,2 % U3O8, verwundert das natürlich nicht.
Dennoch sind die jetzt gemeldeten Ergebnisse nicht minder sensationell. Denn gleich fünf Bohrlöchern stießen im Winter entlang der östlichen Erweiterungen des Haupttrends der super-hochgradigen Lagerstätte ‚Hurricane‘ und des südlichen Trends sowie in ‚Area D‘, 2,8 km östlich von ‚Hurricane‘, auf stark erhöhte Radioaktivität.
Der doppelt-fette Strich unter dieser Rechnung: Phänomenales Potenzial für zusätzliche Zonen mit hochgradigen Uranmineralisierungen, und das sowohl unmittelbar auf dem Streich von ‚Hurricane‘ wie auch entlang des 9 km langen ‚Larocque‘-Trends.

Quelle: IsoEnergy
Insgesamt, und das ist das bombastische „Big Picture“, untermauert die starke Radioaktivität entlang des Haupt- und Südtrends von ‚Hurricane‘ die strukturelle Kontinuität und gibt dem Potenzial für eine Ressourcenerweiterung damit einen weiteren dynamischen Push.
Fette Volltreffer in Serie!
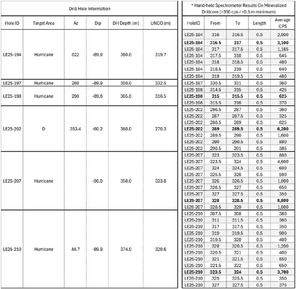
Bei den Bohrungen am ‚Hurricane‘-Haupttrend förderte Bohrung LE25-194 einen grandiosen durchschnittlichen RS-125-Wert im Kern von 3.100 counts per second (cps) über 0,5 m zutage. Die Bohrlochsonde erreichte dabei einen Höchstwert von phänomenalen 30.829 cps. Etwa weiter östlichlieferte Bohrloch LE25-198 fantastische bis zu 625 cps im Kern und 26.503 cps in der Bohrlochsonde.
Beim südlichen Trend überzeugte Bohrloch LE25-207, das 240 m östlich von ‚Hurricane‘ niedergebracht wurde, mit einem erstklassigen durchschnittlichen RS-125-Wert von 8.800 cps auf über 0,5 m und einem maximalen Bohrlochsonde-Wert von herausragenden 30.096 cps. LE25-210 schließlich, das 480 m östlich von ‚Hurricane‘ gebohrt wurde, konnte durchschnittlich bis zu 3.700 cps über ebenfalls 0,5 m zutage fördern, inklusive eines maximalen Werts der Bohrlochsonde von 20.280 cps.

Quelle: IsoEnergy
Insgesamt bestätigen die fetten Volltreffer dieser Bohrungen mit ihrer starken Radioaktivität eindrucksvoll die vielversprechende Kontinuität der Uranmineralisierung östlich von ‚Hurricane‘.
Auch regionale Ziele auf Rekordkurs!
Rund 3 km östlich von der ‚Hurricane‘-Lagerstätte testete IsoEnergy (WKN: A2DMA2) die gehaltvolle ‚Area D‘. Dabei gelang Bohrloch LE25-202 mit einem durchschnittlichen RS-125-Wert von 6.200 cps auf über 0,5 m im Kern und bis zu 28.782 cps in der Bohrlochsonde, gleich ein historischer Volltreffer. Denn dieser Radioaktivitätswert ist der beste, der bisher außerhalb von ‚Hurricane‘ gemeldet wurde. Das schließlich ist ein beeindruckender Beweis für das außergewöhnliche Potenzial dieses regionalen Ziels.

Quelle: IsoEnergy
Während alle nun gespannt auf die geochemischen Ergebnisse warten, bereitet sich IsoEnergy (WKN: A2DMA2) schon kräftig auf die Sommerbohrungen vor. Diese sollen auf die phänomenal erfolgreichen Ergebnisse des Winterbohrprogramms aufsetzen und neben den Zielen unweit der mächtigen ‚Hurricane‘-Lagerstätte auch die Zielgebiete ‚E‘ und ‚F‘ erproben, die 6 bis 9 km östlich von ‚Hurricane‘ liegen, entlang eines sechs Kilometer langen Abschnitts des ‚Larocque‘-Trends.
Außerdem wird sich IsoEnergy (WKN: A2DMA2) auch mit der vielversprechenden geophysikalischen Neuinterpretation bzw. Erweiterung des Zielinventars des ‚Larocque‘-Trends beschäftigen. Diese nämlich hat einen zuvor 2.500 m langen und bisher wenig erforschten leitfähigen Trend 800 m nördlich von ‚Hurricane‘ identifiziert.

Quelle: IsoEnergy
Dieser wurde bisher nur durch zwei historische Bohrlöcher erprobt und stellt ein äußerst vielversprechendes Ziel für zukünftige Bohrungen dar – und natürlich für weiteres Ressourcenpotenzial.
Power-Potenzial für zusätzliche Entdeckungen und Erweiterungen!
Die in jeder Hinsicht herausragenden Ergebnisse und Erkenntnisse fasst Dr. Dan Brisbin, Vice President Exploration bei IsoEnergy (WKN: A2DMA2), zusammen und gibt auch einen spannenden perspektivischen Ausblick auf das nächste Kapitel der außergewöhnlichen ‚Larocque East‘-Erfolgsgeschichte:
„Wir haben östlich der ‚Hurricane‘-Lagerstätte gleich mehrfach eine signifikant erhöhte Radioaktivität durchschnitten und vor allem in der Area ‚D‘ den höchsten Radioaktivitätswert gemeldet, der bisher außerhalb von ‚Hurricane‘ gebohrt wurde. Das alles weist eindrucksvoll auf das außerordentliche Potenzial für weitere Entdeckungen und Erweiterungen hin, sowohl mit Blick auf ‚Hurricane‘ als auch bei zusätzlichen Zielzonen entlang des ‚Larocque‘-Trends. Umso entschlossener gehen wir nun unser Sommerbohrprogramm an, bei dem wir auch die Exploration der vielversprechenden Zielgebiete ‚E‘ und ‚F‘ wieder aufnehmen.“
Fazit: IsoEnergy – Die neue Uran-Sensation im Herzschlag des Jahrhunderts!
IsoEnergy (WKN: A2DMA2) setzt im ‚Athabasca- Becken‘ neue Maßstäbe und liefert eine Entdeckung nach der anderen – und das in einem Marktumfeld, das auf eine wahre Preisexplosion zusteuert! Während die Welt noch schläft, bereitet sich IsoEnergy auf den nächsten großen Wurf vor: Ressourcenerweiterungen, neue hochgradige Zonen und ein Explorationspotenzial, das seinesgleichen sucht.
In einem Uranmarkt, der auf eine epochale Angebotsknappheit zusteuert, sind Entdeckungen wie jene auf ‚Larocque East‘ nichts weniger als ein Goldäquivalent für Investoren. Die jüngsten Bohrergebnisse beweisen eindrucksvoll: IsoEnergy (WKN: A2DMA2) ist nicht nur ein Mitspieler – IsoEnergy ist ein kommender Champion im Uran-Game!
Mit einem strukturell explodierenden Uranbedarf, geopolitischen Engpässen und der wachsenden Bedeutung von Kernenergie als Klimaretter stehen die Uran-Zeichen glasklar auf Sturm – und IsoEnergy (WKN: A2DMA2) sitzt am Steuer dieser kommenden Energiewende!
Wer auf der Suche nach einer kraftvollen Hebelchance im Uranmarkt ist, der kommt an IsoEnergy (WKN: A2DMA2) jetzt nicht mehr vorbei. Hier treffen Weltklasse-Projekte auf ein Jahrhundertmarktumfeld – eine Kombination, die explosiver kaum sein könnte!
Viele Grüße und maximalen Erfolg bei Ihren Investments,
Ihr
Jörg Schulte
Quellen: IsoEnergy, Quelle: UxC, TD Cowen, eigener Research
Dieser Werbeartikel wurde am 27. April 2025 durch Jörg Schulte, Geschäftsführer der JS Research GmbH erstellt. Gemäß §84 WPHG ist die Tätigkeit der JS Research GmbH bei der BaFin angezeigt!
Risikohinweise und Haftungsausschluss: Wir weisen ausdrücklich darauf hin, dass wir keine Haftung für die Inhalte externer Verlinkungen übernehmen. Jedes Investment in Wertpapiere ist mit Risiken behaftet. Aufgrund von politischen, wirtschaftlichen oder sonstigen Veränderungen kann es zu erheblichen Kursverlusten kommen. Dies gilt insbesondere bei Investments in (ausländische) Nebenwerte sowie in Small- und Microcap-Unternehmen; aufgrund der geringen Börsenkapitalisierung sind Investitionen in solche Wertpapiere höchst spekulativ und bergen ein extrem hohes Risiko bis hin zum Totalverlust des investierten Kapitals. Darüber hinaus unterliegen die bei JS Research GmbH vorgestellten Aktien teilweise Währungsrisiken. Die von JS Research GmbH für den deutschsprachigen Raum veröffentlichten Hintergrundinformationen, Markteinschätzungen und Wertpapieranalysen wurden unter Beachtung der österreichischen und deutschen Kapitalmarktvorschriften erstellt und sind daher ausschließlich für Kapitalmarktteilnehmer in der Republik Österreich und der Bundesrepublik Deutschland bestimmt; andere ausländische Kapitalmarktregelungen wurden nicht berücksichtigt und finden in keiner Weise Anwendung. Die Veröffentlichungen von JS Research GmbH dienen ausschließlich zu Informationszwecken und stellen ausdrücklich keine Finanzanalyse dar, sondern sind Promotiontexte rein werblichen Charakters zu den jeweils besprochenen Unternehmen, welche hierfür, ein Entgelt zahlen.
Zwischen dem Leser und den Autoren bzw. dem Herausgeber kommt durch den Bezug der JS Research GmbH-Publikationen kein Beratungsvertrag zu Stande. Sämtliche Informationen und Analysen stellen weder eine Aufforderung noch ein Angebot oder eine Empfehlung zum Erwerb oder Verkauf von Anlageinstrumenten oder für sonstige Transaktionen dar. Jedes Investment in Aktien, Anleihen, Optionen oder sonstigen Finanzprodukten ist – mit teils erheblichen – Risiken behaftet. Die Herausgeberin und Autoren der JS Research GmbH-Publikationen sind keine professionellen Investmentberater!!! Deshalb lassen Sie sich bei ihren Anlageentscheidungen unbedingt immer von einer qualifizierten Fachperson (z.B. durch Ihre Hausbank oder einen qualifizierten Berater Ihres Vertrauens) beraten. Alle durch JS Research GmbH veröffentlichten Informationen und Daten stammen aus Quellen, die wir zum Zeitpunkt der Erstellung für zuverlässig und vertrauenswürdig halten. Hinsichtlich der Korrektheit und Vollständigkeit dieser Informationen und Daten kann jedoch keine Gewähr übernommen werden. Gleiches gilt für die in den Analysen und Markteinschätzungen von JS Research GmbH enthaltenen Wertungen und Aussagen. Diese wurden mit der gebotenen Sorgfalt erstellt. Eine Verantwortung oder Haftung für die Richtigkeit und Vollständigkeit der in dieser Publikation enthaltenen Angaben ist ausgeschlossen. Alle getroffenen Meinungsaussagen spiegeln die aktuelle Einschätzung der Verfasser wider, die sich jederzeit ohne vorherige Ankündigung ändern kann. Es wird ausdrücklich keine Garantie oder Haftung dafür übernommen, dass die in den von JS Research GmbH-Veröffentlichungen prognostizierten Kurs- oder Gewinnentwicklungen eintreten.
Angaben zu Interessenskonflikten: Der Herausgeber und verantwortliche Autoren erklären hiermit, dass folgende Interessenskonflikte hinsichtlich des in dieser Veröffentlichung des besprochenen Unternehmens IsoEnergy zum Zeitpunkt der Veröffentlichung bestehen: I. Autoren und die Herausgeberin sowie diesen nahestehende Consultants halten zum Zeitpunkt der Veröffentlichung Aktienbestände in IsoEnergy und behalten sich vor, zu jedem Zeitpunkt und ohne Ankündigung weitere Aktien zu kaufen oder zu verkaufen. II. Autoren oder die Herausgeberin sowie diesen nahestehende Consultants unterhalten zum Zeitpunkt der Veröffentlichung kein direktes Beratungsmandat mit der IsoEnergy, erhalten hierfür aber ein Entgelt, vom Unternehmen. III. Autoren und die Herausgeberin wissen nicht, ob andere Börsenbriefe, Medien oder Research-Firmen die Aktie von IsoEnergy im gleichen Zeitraum besprechen, weshalb es in diesem Zeitraum zur symmetrischen Informations- und Meinungsgenerierung kommen kann. IV. Es handelt sich bei dieser Veröffentlichung von JS Research GmbH ausdrücklich nicht um eine Finanzanalyse, sondern um eine Veröffentlichung eines ganz deutlichen und eindeutig werblichen Charakters im Auftrag des besprochenen Unternehmens und ist somit als Werbung/Marketingmitteilung zu verstehen.
Gemäß §85 WpHG weise ich darauf hin, dass Jörg Schulte, JS Research GmbH oder Mitarbeiter des Unternehmens Aktien von IsoEnergy halten und weiterhin jederzeit eigene Geschäfte in den Aktien des Unternehmens (z.B. Long- oder Shortpositionen) eingehen können. Auf einen Interessenkonflikt weisen wir ausdrücklich hin. Das gilt ebenso für Optionen und Derivate, die auf diesen Wertpapieren basieren. Die daraus eventuell resultierenden Transaktionen können unter Umständen den jeweiligen Aktienkurs des Unternehmens beeinflussen. Die auf den „Webseiten“, dem Newsletter oder den Research-Berichten veröffentlichten Informationen, Empfehlungen, Interviews und Unternehmenspräsentationen werden von den jeweiligen Unternehmen bezahlt. Die JS Research GmbH direkt oder indirekt für die Vorbereitung, elektronische Verbreitung und andere Dienstleistungen von den besprochenen Unternehmen mit einer Aufwandsentschädigung entlohnt. Auch wenn wir jeden Artikel nach bestem Wissen und Gewissen erstellen, raten wir Ihnen bezüglich Ihrer Anlageentscheidungen noch weitere externe Quellen, wie z.B. Ihre Hausbank oder einen Berater Ihres Vertrauens, hinzuzuziehen. Deshalb ist auch die Haftung für Vermögensschäden, die aus der Heranziehung der hier behandelten Ausführungen für die eigenen Anlageentscheidungen möglicherweise resultieren können, kategorisch ausgeschlossen. Die Depotanteile einzelner Aktien sollten gerade bei Rohstoff- und Explorationsaktien und bei gering kapitalisierten Werten nur so viel betragen, dass auch bei einem Totalverlust das Gesamtdepot nur marginal an Wert verlieren kann. Besonders Aktien mit geringer Marktkapitalisierung (sogenannte "Small Caps") und speziell Explorationswerte sowie generell alle börsennotierten Wertpapiere sind zum Teil erheblichen Schwankungen unterworfen. Die Liquidität in den Wertpapieren kann entsprechend gering sein. Bei Investments im Rohstoffsektor (Explorationsunternehmen, Rohstoffproduzenten, Unternehmen die Rohstoffprojekte entwickeln) sind unbedingt zusätzliche Risiken zu beachten. Nachfolgend einige Beispiele für gesonderte Risiken im Rohstoffsektor: Länderrisiken, Währungsschwankungen, Naturkatastrophen und Unwetter (z.B. Überschwemmungen, Stürme), Veränderungen der rechtlichen Situation (z.B. Ex- und Importverbote, Strafzölle, Verbot von Rohstoffförderung bzw. Rohstoffexploration, Verstaatlichung von Projekten), umweltrechtliche Auflagen (z.B. höhere Kosten für Umweltschutz, Benennung neuer Umweltschutzgebiete, Verbot von diversen Abbaumethoden), Schwankungen der Rohstoffpreise und erhebliche Explorationsrisiken.
Disclaimer: Alle im Artikel veröffentlichten Informationen beruhen auf sorgfältiger Recherche. Die Informationen stellen weder ein Verkaufsangebot für die besprochenen Aktien noch eine Aufforderung zum Kauf oder Verkauf von Wertpapieren dar. Dieser Artikel gibt nur die persönliche Meinung von Jörg Schulte wieder und ist auf keinen Fall mit einer Finanzanalyse gleichzustellen. Bevor Sie irgendwelche Investments tätigen, ist eine professionelle Beratung durch ihre Bank unumgänglich. Den Ausführungen liegen Quellen zugrunde, die der Herausgeber und seine Mitarbeiter für vertrauenswürdig erachten. Für die Richtigkeit des Inhalts kann trotzdem keine Haftung übernommen werden. Für die Richtigkeit der dargestellten Charts und Daten zu den Rohstoff-, Devisen- und Aktienmärkten wird keine Gewähr übernommen. Die Ausgangssprache (in der Regel Englisch), in der der Originaltext veröffentlicht wird, ist die offizielle, autorisierte und rechtsgültige Version. Diese Übersetzung wird zur besseren Verständigung mitgeliefert. Die deutschsprachige Fassung kann gekürzt oder zusammengefasst sein. Es wird keine Verantwortung oder Haftung: für den Inhalt, für die Richtigkeit, der Angemessenheit oder der Genauigkeit dieser Übersetzung übernommen. Aus Sicht des Übersetzers stellt die Meldung keine Kauf- oder Verkaufsempfehlung dar!
Die JS Research GmbH übernimmt keine Garantie dafür, dass die angedeutete Rendite oder die genannten Kursziele erreicht werden. Veränderungen in den relevanten Annahmen, auf denen dieses Dokument beruht, können einen materiellen Einfluss auf die angestrebten Renditen haben. Das Einkommen aus Investitionen unterliegt Schwankungen. Anlageentscheidungen bedürfen stets der Beratung durch einen Anlageberater. Somit kann das vorliegende Dokument keine Beratungsfunktion übernehmen. Aktienkurse können variieren und der Unternehmenswert kann steigen/fallen. Jeder Hinweis auf die bisherige Wertentwicklung ist nicht unbedingt ein Indikator für die kommenden Entwicklungen.
Der Leser sollte jede Investition in eines der genannten Unternehmen im Lichte seiner eigenen professionellen Beratung, Umstände und Anlageziele bewerten. Die Empfehlung des Autors / der Autoren ist es, einen qualifizierten Fachberater zu den spezifischen finanziellen Risiken und den gesetzlichen, offiziellen, kredit-, steuerlichen und abwicklungsbedingten Folgen zu konsultieren. Es ist durchaus möglich, dass die Emittenten der hier genannten Wertpapiere im Widerspruch zum hier in genannten Fall fallbringend gehandelt haben, ohne dass der Autor / die Autoren dieser Research Note von dieser Entwicklung Kenntnis hat.
Kein Vertrieb außerhalb der Bundesrepublik Deutschland! Der vorliegende Artikel wurde unter Beachtung der deutschen Kapitalmarktvorschriften erstellt und ist daher ausschließlich für Kapitamarktteilnehmer in der Bundesrepublik Deutschland bestimmt. Ausländische Kapitalmarktregelungen wurden nicht berücksichtigt und finden in keiner Weise Anwendung. Die Publikation darf, sofern sie in der UK vertrieben wird, nur solchen Personen zugänglich gemacht werden, die im Sinne des Financial Services Act 1986 als ermächtigt oder befreit gelten, oder Personen gemäß Definition §9(3) des Financial Services Act 1986 (Investment Advertisement) bzw. Exemptions Erlass 1988 und darf an andere Personen oder Personengruppen weder direkt noch indirekt übermittelt werden. Dieses Dokument darf nicht in die Vereinigten Staaten von Amerika oder in deren Territorien gebracht werden. Die Verteilung dieses Dokuments in Kanada, Japan oder anderen Gerichtsbarkeiten kann durch Gesetz beschränkt sein und Personen, in deren Besitz diese Publikation gelangt, sollten sich über etwaige Beschränkungen informieren und diese erhalten. Eine Missachtung dieser Beschränkungen kann eine Verletzung der US- amerikanischen, kanadischen oder japanischen Wertpapiergesetzte oder der Gesetze einer anderen Gerichtsbarkeit darstellen. Durch die Annahme dieses Dokuments akzeptieren Sie jeglichen Haftungsausschluss und die vorgenannten Beschränkungen.
Die Urheberrechte der einzelnen Artikel liegen bei dem Herausgeber. Der Nachdruck und/oder kommerzielle Weiterverbreitung sowie die Aufnahme in kommerzielle Datenbanken ist nur mit ausdrücklicher Genehmigung des Herausgebers erlaubt. Die Nutzung der Veröffentlichungen ist nur zu privaten Zwecken erlaubt. Eine professionelle Verwertung ist entgeltpflichtig und nur mit vorheriger schriftlicher Zustimmung des Herausgebers zulässig. Lesen Sie hier mehr - https://www.js-research.de/disclaimer-agb/ -.
Hinweis: ARIVA.DE veröffentlicht in dieser Rubrik Analysen, Kolumnen und Nachrichten aus verschiedenen Quellen. Die ARIVA.DE AG ist nicht verantwortlich für Inhalte, die erkennbar von Dritten in den „News“-Bereich dieser Webseite eingestellt worden sind, und macht sich diese nicht zu Eigen. Diese Inhalte sind insbesondere durch eine entsprechende „von“-Kennzeichnung unterhalb der Artikelüberschrift und/oder durch den Link „Um den vollständigen Artikel zu lesen, klicken Sie bitte hier.“ erkennbar; verantwortlich für diese Inhalte ist allein der genannte Dritte.