Anzeige
Meldung des Tages: 81,8 Mrd. CAD und 70 % „Made in Canada“: Startet jetzt der nächste Drohnen-Gewinner durch?
Neuester, zuletzt geles. Beitrag
Antworten | Börsen-Forum
Übersicht ZurückZurück WeiterWeiter
... 88 89 90 92 93 94 ...

Borussia Dortmund - Unternehmens/Aktienanaly se


Thema
abonnieren
Beiträge: 4.182
Zugriffe: 1.243.901 / Heute: 66
Borussia Dortmun. 3,02 € -0,82% Perf. seit Threadbeginn:   -25,10%
 
LASKler:

Gedanken

 
23.03.18 09:52
Der DOW hat gehustet - die BVB Aktie ist Todkrank ...

Manche wollen Gewinn mitnehmen ...
Antworten

Werbung

Entdecke die beliebtesten ETFs von Xtrackers

Xtrackers MSCI Korea UCITS ETF 1C
Perf. 12M: +127,72%
Xtrackers MSCI Taiwan UCITS ETF 1D
Perf. 12M: +49,57%
Xtrackers CSI500 Swap UCITS ETF 1C
Perf. 12M: +49,47%
Xtrackers MSCI Taiwan UCITS ETF 1C
Perf. 12M: +49,46%
Xtrackers Nikkei 225 UCITS ETF 2D - EUR Hedged
Perf. 12M: +47,37%

MisterTurtle:

nicht beendet?

 
23.03.18 12:24
Halbgott, ich will dir nicht die größere Börsenerfahrung in Abrede stellen, aber das ist unlogisch. Nach einem 10.000er Paket wäre er nicht fertig. Bei der krummen Zahl in der Größe war das aber ein "alles muss raus". Oder - und das klingt recht plausibel - Crunch hat recht, da wollte einer Schwellen reißen.

Nur leider echt schade, dass der BVB solche Sachen immer sehenden Auges verstreichen lässt. Da muss ichn doch jemand finden lassen, der diese Witzkurse abfängt und damit dem Shortie auch gleich klar macht, dass seine Kohle jetzt weg ist und er da lassen soll. Aber die Diskussion hatten wir ja schonmal. Watzke gelobte zwar artig daraus zu lernen, aber er ist sicherlich gerade schwer mit sportlichem beschäftigt, das ja immer Priorität hat.

Jedenfalls wird die Aktie nie auch nur so was ähnliches wie einen fairen Wert erreichen, wenn man sich so passiv verhält. Jetztz kann man eignetlich nur hoffen, dass im Sommer wieder ein Hype kommt und man einein greater Fool findet. Das Management hat einfach keinerlei Interesse an der Aktie. Ich lasse mich natürlich gerne nächste Woche eines besseren belehren.
Antworten
halbgottt:

ist doch ganz einfach

 
23.03.18 13:14
wenn jemand eine Million Aktien verkaufen möchte, dann macht er das nicht mit 10.000er Paketen, sondern versucht größere Stückzahlen loszuwerden.

Als die CL verpasst wurde, hatten die inst. Anleger auch sehr massiv verkauft, sie hatten dafür 8 Monate (!!!) gebraucht. Hier im Forum wurde unterstellt, das Ausscheiden in der EL wäre innerhalb kürzester Zeit bereits eingepreist und schon vor dem Rückspiel könne nix mehr passieren, weil die Buchmacherquoten eindeutig waren. Diese Annahme war falsch, meine Meinung.

Letztlich ist es auch total egal, wer hier was glaubt oder nicht glaubt. Entweder die Kursentwicklung in der Rückrunde hat gute Gründe oder nicht. Das ändert aber nix an der Kursentwicklung an sich. Kein Mensch versucht vor der HV die BVB Aktie zu drücken, ist halt so und es hat am langen Ende Konsequenzen, nämlich daß die Aktie in bestimmten Momenten viel besser oder schlechter bewertet wird.

Ich finde das Verhalten der inst. Anleger auch nicht besonders sinnvoll, keine Frage. Aber ich stelle mich nicht dagegen, ich beobachte das jahrelang und irgendwann kann man es ja auch mal kapieren.

BVB hat die CL Qualifikation mit einer Wahrscheinlichkeit von 89% erreicht, so Kickform. Bei Lazio ist diese Wahrscheinlichkeit von 80% auf 8% gesunken. Als ich am 2.3. die These aufstellte, die Lazio Aktie würde doppelt so gut performen wie die BVB Aktie unter der Bedingung, daß beide Vereine die CL erreichen, stand die BVB Aktie bei 5,66 und Lazio bei 1,32.

Es geht zur Zeit um völlig andere Themen als gewonnene oder verlorene Spiele, hier wie da.

Es geht um Halbjahresberichte und wie man diese deutet, es geht um künftige Transfers und Wahrscheinlichkeiten. Um Transfereinnahmen und Ausgaben. Und natürlich geht es um die grundsätzliche Unterbewertung. Aber wenn aufgrund von Marktturbulenzen etliche Aktien runtergehen, dann gibt es mehrere Aktien, die unterbewertet sind und dann werden die Aktien gesucht die im Trend sind.
Antworten
rockafella:

BVB

 
24.03.18 01:22
BVB ist unterbewertet. Egal wer wie warum - diese Kurse sind Kaufkurse und keine Verkaufskurse, wenn Forbes, KPMG, Deloitte, Watzke & Co. irgendeine Ahnung haben, was Unternehmensbewertung anbetrifft. Langfristig sehen wir hier zweistellige Kurse. Bei Kursen um 5 Euro handelt es sich also um einen sicheren Verdoppler. Die sind an der Börse rar gesät. Deshalb wird auch Warren E. Buffett irgendwann nicht um ein Investment herumkommen - mit den entsprechenden Folgen für den Aktienkurs. Ich bin mir felsenfest sicher, dass jeder, der jetzt verkauft, es in wenigen Jahren schwer bereuen wird. Allein Marke, Kader und Stadion sind mehr wert als die derzeitige Marktkapitalisierung. Vom KUV 17/18 ganz abgesehen, dass die 1 derzeit deutlich unterschreitet.
Antworten
H. Bosch:

Kader

 
24.03.18 09:06
ist nur so gut wie der Erfolg des Vereins auf nationaler und internationaler Bühne.
Fällt der Stellenwert, fallen die Spielermarktpreise, fällt der Kurs.

Zumindest sehen die Verantwortlichen jetzt, dass Nachholbedarf in Sachen Kaderverstärkung
herrscht. Vor allem in der Abwehr.

Talente fördern und teuer verkaufen, ist eine gute Strategie.
Aber nur darauf zu hoffen und damit zu punkten schwierig.
Dembele war die Ausnahme. Pulisic wird folgen.
Bei den anderen keimt Hoffnung.
Zu wenig Einsatzzeiten, weil Punkte her müssen um Ziele zu erreichen.
Also wieder mehr auf die alten Kräfte setzen, die wiederum teils verletzt,
unmotiviert oder verunsichert sind.
Was wiederum Punkte kostet. Teufelskreis.

Ein guter Trainerstab muss her, der die Probleme lösen kann und Fortschritte
zeigt. Vor allem im spielerischen.

Der gute internationale Ruf/Name des BVB scheint zu schwinden,
wenn international nur noch auf schwaches EL Niveau und national
gegen unkonstante Gegner um die CL Quali gekickt wird.


Antworten
simplify:

Kosten

3
24.03.18 20:34
Denke auch, dass das Dortmunder System nicht mehr so funktioniert und nun viel Geld in Spieler und Gehälter investiert wird. Das wird die Gewinne schrumpfen lassen. Ein Fussballverein ist eben nur bedingt ein Wirtschaftsunternehmen. Sportlicher Erfolg ist nicht gleich bedeutend mit wirtschaftlichem Erfolg. Den Spagat wirtschaftlich und sportlich erfolgreich zu sein, der wankt schwer. Bin echt gespannt, wie sie ihren Kader zur neuen Saison aufrüsten. Sie sind geprägt von dieser Saison und werden das Geld raushauen.

Antworten
Wasserbüffel:

So wahnsinnig viel muss man glaube ich nicht

 
24.03.18 23:31
in den Kader investieren.
An den Bayern kommt man eh nicht vorbei egal, ob man 20 Mio. Euro oder 200 Mio. Euro investiert.
Die Frage ist, welchen Platz man erreichen will, wahrscheinlich wird dies wieder Platz 2 bis 4 sein, damit man CL spielt.
Wichtigster Einkauf bzw. Verpflichtung wird ein sehr guter Trainer sein.
Dann evtl. noch ein Herausforderer für Bürki, vielleicht verkauft man ihn auch, falls er wechseln möchte.
Das wird auch noch ein Thema sein, wie viele Spieler den BVB verlassen wollen, um bei einem anderen Verein einen Neustart zu machen nach dem Trauma des Anschlages.
Dann benötigt man für das Mittelfeld oder als Vorstopper einen Spieler, der rustikal zu Werke geht und auch mal die anderen mitreißen kann.
Und zu guter Letzt einen Wandstürmer oder ähnliches für die Offensive.

Vielleicht macht man aber auch einen Riesenumbruch im Sommer und es gehen freiwillig 10 Spieler oder mehr des BVB, weil sie sehen, wie schwierig es für sie beim BVB ist.


Antworten
rockafella:

Watzke

 
25.03.18 00:27
wird schon das Richtige tun. Ich habe großes Vertrauen in die Führung des Clubs. BVB wird schon nicht untergehen. Man kann 2-3 Saisons auch mal die CL verpassen, ohne dass Insolvenz angemeldet werden muss. Es wird schon alles gutgehen. Wenn die Naturaldividende mit Bratwurst und Bier kommt, kauft bestimmt auch jemand wieder die Aktie. Nur der Signal Iduna Park müsste endlich durch eine Multifunktionsarena ersetzt werden (Logenproblematik). Aber auch das wird Watzke gut handeln, bin ich überzeugt.  
Antworten
Mac_Money:

Die Aktie

 
25.03.18 21:08
zeigte am Freitag einen charttechnisch sehr interessanten Tag: Hohes Volumen, geringe Preisspanne, in der Mitte geschlossen. Ein sehr positives Zeichen. Würde mich nicht wundern, wenn das das Startsignal für die Trendwende ist. Aber Geduld ist gefragt, zunächst muss sich im Tageschart ein Aufwärtstrend ausbilden...

VG
MM
Antworten
Der Tscheche:

Der Rutsch letzte Woche kam aus meiner Sicht

 
26.03.18 22:27
definitiv vor allem durch die 50+1-Beibehaltungs-Entscheidung.
Antworten
al_sting:

Oddo-Seydler-Analyse

 
27.03.18 08:36
Angeregt durch den Kurssturz von Borussia schaue ich nach längerer Abstinenz wieder in Richtung Borussia. In einem Beitrag v 14.03. lese ich
"der wichtigste Grund überhaupt ist und bleibt die klare Unterbewertung der BVB Aktie. Diese liegt laut Oddo Seydler bei 9,91."
Dazu als interessierte NAchfrage: Ist die Bewertung von Oddo Seydler öffentlich zugänglich (optimalerweise detailliert), in der 9,91€ als rational nachvllziehbares Kursziel ausgegeben werden? Wo finde ich sie und von wann ist sie?
Die aktuellste Bewertung von Oddo Seydler zum BVB, die ich per schnellem Googlen fand, ist vom 23.11.2017 und enthält ein Preisziel von 6,50€: markets.businessinsider.com/...orussia-dortmund-neutral-629482
Und habt ihr Einlesetipps, um sich einen aktuellen, fundamental begründeten Eindruck vom Wert der Borussia-Aktie zu holen?
Vielen Dank, Al Sting!
Antworten
tulmin:

Der Tscheche

 
27.03.18 12:12
Den Gedanken hatte ich auch.

Es ist kurz vorher Arca Capital fett eingestiegen und zwar mit 1,3 Prozent der Anteile. Das ist viel, durchschnittlich sind insgesamt nur etwa 7-8 % der Anteilseigner institutionelle Anleger.

1,3%, das entspricht 1,2 Millionen Aktien, ohne neue News. Eine Überlegung von mir war, dass die – neben der Unterbewertung – auf eine andere Entscheidung spekuliert hatten und dann vielleicht wieder reduziert haben. Aber nur eine Idee.
Antworten
Der Tscheche:

Krass - 5€ erreicht, da erhöht sogar Katjuscha

 
28.03.18 10:05
den Wiki-Anteil auf 5%.

Und Halbgott hat mal wieder von manisch auf depressiv gewechselt. Kein Wunder, da braucht man sich nur sein "Investor 2018"-Depot anschauen und zu wissen, dass er privat ähnlich investiert ist wie dort...
Antworten
Der Tscheche:

Bei Katjuscha passt das ja auch schön mit seinen

 
28.03.18 10:29
Beiträgen zusammen. Als er hier wochenlang Halbgotts negative Einschätzungen bekämpft hat (in aller Regel durch persönliche Unterstellungen, aber halt bekämpft), hat er gleichzeitig den Wiki-Anteil ABgebaut. Jetzt, wo er sich zurückgezogen hat und nicht mehr für den BVB trommelt, hat er ZUgekauft...
Antworten
Cosha:

Kannst du mal beim Thema bleiben

 
28.03.18 10:47
und persönliche Animositäten bitte per BM klären ?
Antworten
halbgottt:

Tscheche

 
28.03.18 11:01
"Und Halbgott hat mal wieder von manisch auf depressiv gewechselt. Kein Wunder, da braucht man sich nur sein "Investor 2018"-Depot anschauen und zu wissen, dass er privat ähnlich investiert ist wie dort..."

Mein "Investor 2018" Depot hat wenig bis nichts mit meinem privat Depot zu tun, weil meine momentane Hauptposition mit einer Gewichtung von 70% die Lazio Aktie ist. Diese kann man aber beim Investor Spiel nicht in Mailand handeln, daher hatte ich es beim Spiel dort zunächst überhaupt nicht gekauft. Man kann dort nur in Stuttgart handeln. 70% Gewichtung geht natürlich auch nicht.
Ich performe z.Z. besser als der DAX, so viel dazu.

Ich schreibe z.Z. deswegen nicht so viel, weil in der Länderspielpause fast nix passiert. Morgen kommt der Lazio Halbjahresbericht, das wird interessant, ansonsten ist nix los.
Antworten
HamBurch:

Watzke und 50+1...

 
28.03.18 11:02
...irgendwie scheint es immer noch nicht in den Köpfen angekommen zu sein, daß Tradition
und alte Werte keine Tore schießen werden...
Verstehe nicht wiso Watzke nicht über seinen Suppentellerrand schauen will...
Vermutlich wird Watzke und die DFL noch ein paar Jahre brauchen, bis sie erkennen das
diese Regel jetzt und zukünftig mehr Schaden als Nutzen  bringen wird...
Jahr für Jahr wird die Bundesliga weiter den Anschluß an die PL verlieren...das wird sich dann
auch in den TV-Geldern und Zuschauerzahlen wiederspiegeln...

Antworten
LASKler:

Gedanken

 
28.03.18 13:03
Bin für die 50+1 Regel
Die Deutsche BuLi ist weder in der Vergangenheit noch jetzt abgeschlagen.

Wenn interessiert die abhängig von einem Investor! Was ist wenn dieser abspringt?
Antworten
halbgottt:

postings #2260 und #2262: 50+1 Regel

 
28.03.18 13:15
Falls der Markt tatsächlich genau deswegen enttäuscht reagiert hat, dann war es aus meiner Sicht ein irrationales Verhalten. Denn falls die 50+1 Regel gefallen wäre oder anders ausgelegt worden wäre, hätte es kaum Auswirkungen auf Borussia Dortmund haben können, weil deren spezielle Gesellschaftsform GmbH & Co KgaA noch mal eine besondere Sache ist, die eine Übernahme mit Kontrolle über die Geschäftstätigkeit verhindern würde.

Es ist also für die BVB Aktie völlig egal, ob die 50+1 Regel fällt oder nicht.

"Die KGaA eignet sich damit für Unternehmen, die auf eine Fremdfinanzierung angewiesen sind ohne dabei die Geschäftsführung und Entscheidungskompetenz zu verlieren."

www.fuer-gruender.de/wissen/...t-und-steuern/rechtsform/kgaa/

Wenn also der komplette Freefloat von chinesischen Investoren gekauft werden würde und auch die Ankerinvestoren alles zu einem tollen Preis verkaufen, dann würde es niemals eine feindliche Übernahme sein, wo Watzke einfach entlassen werden könnte, weil andere das Sagen haben. Dies ist schlicht nicht möglich. Es betrifft keinesfalls nur Fussballvereine, was die DFL beschliesst oder nicht, hat keine Relevanz. Im obigen Link wird das Beispiel Merck KGaA aufgeführt. Merck notiert im DAX
Antworten
Der Tscheche:

Nö, egal ist es trotzdem definitiv nicht...

 
28.03.18 16:58
...was denkst Du denn, warum sich Watzke andauernd mit Händen und Füßen gegen den Einstieg z.B. der Chinesen, die auch bei Tom Tailor drin sind (und wo ich immer noch darauf warte, dass ein Buli-Klub Vollzug meldet)?
Antworten
halbgottt:

Die Motivation von Watzke

 
28.03.18 18:00
ist aber eine differenziertere. Denn es geht nicht nur um die 50+1 Regel an sich. Theoretisch könnte die Gesellschaftsform GmbH & Co KgaA auch von Borussia Dortmund selbst geändert werden, wenn sich dafür eine Mehrheit finden würde.

Wenn also ein chinesischer Investor Unsummen verspricht und gleichzeitig das Einfrieren der Ticketpreise und vieles mehr, also insbesondere die Bedenken der vielen Gegner beiseite wischt, dann wäre denkbar daß es bei der Aktionärsversammlung einen Antrag geben könnte, für den sich sogar eine Mehrheit findet.

Denkbar wäre auch, daß sich die sportliche Misere fortsetzt und sich die Meinung aus weiteren Gründen ändern könnte.

Aber das wären Erkenntnisprozesse die eben nicht nur von außen bestimmt werden würden, sondern auch von Borussia Dortmund selber. Denn wenn nur allein die 50+1 Regel fällt, dann ändert sich für Borussia Dortmund erst mal rein rechtlich NICHTS. Es ändert sich nur eine allgemeine Meinungslage und genau an dieser schraubt Watzke so oft er kann.
Antworten
Der Tscheche:

Die Motivation von Watzke ist, dass er schön weite

3
28.03.18 22:30
r gemütlich in seinem Chefsessel sitzen und sich wichtig machen kann, ohne von wem auch immer Kontra zu bekommen. So sehe ich die Sache jedenfalls. Chinesische Aufsichtsräte würden das gemütliche Beisammensein im Aufsichtsrat stören - jedenfalls wäre das nicht ausgeschlossen, also gehört es am besten ausgeschlossen.
Antworten
SzeneAlternat.:

BVB Kader aktuelle Saison

 
30.03.18 21:06
www.wallstreet-online.de/diskussion/...pitze#beitrag_57392264

Antworten
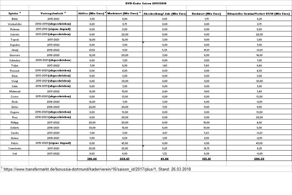
SzeneAlternat.:

Übersichtlicher:

3
30.03.18 21:08
www.wallstreet-online.de/diskussion/...pitze#beitrag_57392264
(Verkleinert auf 58%) vergrößern
Borussia Dortmund - Unternehmens/Aktienanalyse 1047710
Antworten
simplify:

Mieses Team

3
31.03.18 22:20
Die gehen 6:0 unter gege Bayern. Die Belange der Aktionäre sind nun scheißegal. Jetzt wird das Geld mit vollen Händen für Beine ausgegeben. Lauter Schürles werden geholt. Keine gute Anlage.
Antworten
Auf neue Beiträge prüfen
Es gibt keine neuen Beiträge.

Seite: Übersicht ... 88 89 90 92 93 94 ... ZurückZurück WeiterWeiter

Börsen-Forum - Gesamtforum - Antwort einfügen - zum ersten Beitrag springen
3 Nutzer wurden vom Verfasser von der Diskussion ausgeschlossen: gmalli, jamron, slatch

Neueste Beiträge aus dem BVB Forum

Wertung Antworten Thema Verfasser letzter Verfasser letzter Beitrag
71 51.376 14 Gründe für ein Investment in BVB. atitlan Michael Kl 17.03.26 22:14
7 19.548 Spieltaganalyse und Kaderdiskussion BORUSSIA 09 WireGold 2teSpitze 15.03.26 10:26
10 760 Perf. Vergleich - Gottt gegen den Rest der Welt Baerenstark Dragonwork 06.03.26 08:56
9 1.734 Borussia Dortmund - Charttechnik Der Tscheche SzeneAlternativ 01.08.25 19:07

--button_text--