Anzeige
Meldung des Tages: Diese Goldaktie startet NI-43-101 Ressourcenschätzung – jetzt kann aus der Story Substanz werden

Neuer AR und Vorstand bei der Fritz Nols AG o. T.


Beiträge: 7
Zugriffe: 1.292 / Heute: 1
arbopa:

Neuer AR und Vorstand bei der Fritz Nols AG o. T.

 
24.11.05 20:28
(Verkleinert auf 67%) vergrößern
Neuer AR und Vorstand bei der Fritz Nols AG o. T. 20513
Antworten
arbopa:

Seite 2 o. T.

 
24.11.05 20:29
(Verkleinert auf 67%) vergrößern
Neuer AR und Vorstand bei der Fritz Nols AG o. T. 20516
Antworten
arbopa:

Seite 3 o. T.

 
24.11.05 20:30
(Verkleinert auf 67%) vergrößern
Neuer AR und Vorstand bei der Fritz Nols AG o. T. 20517
Antworten
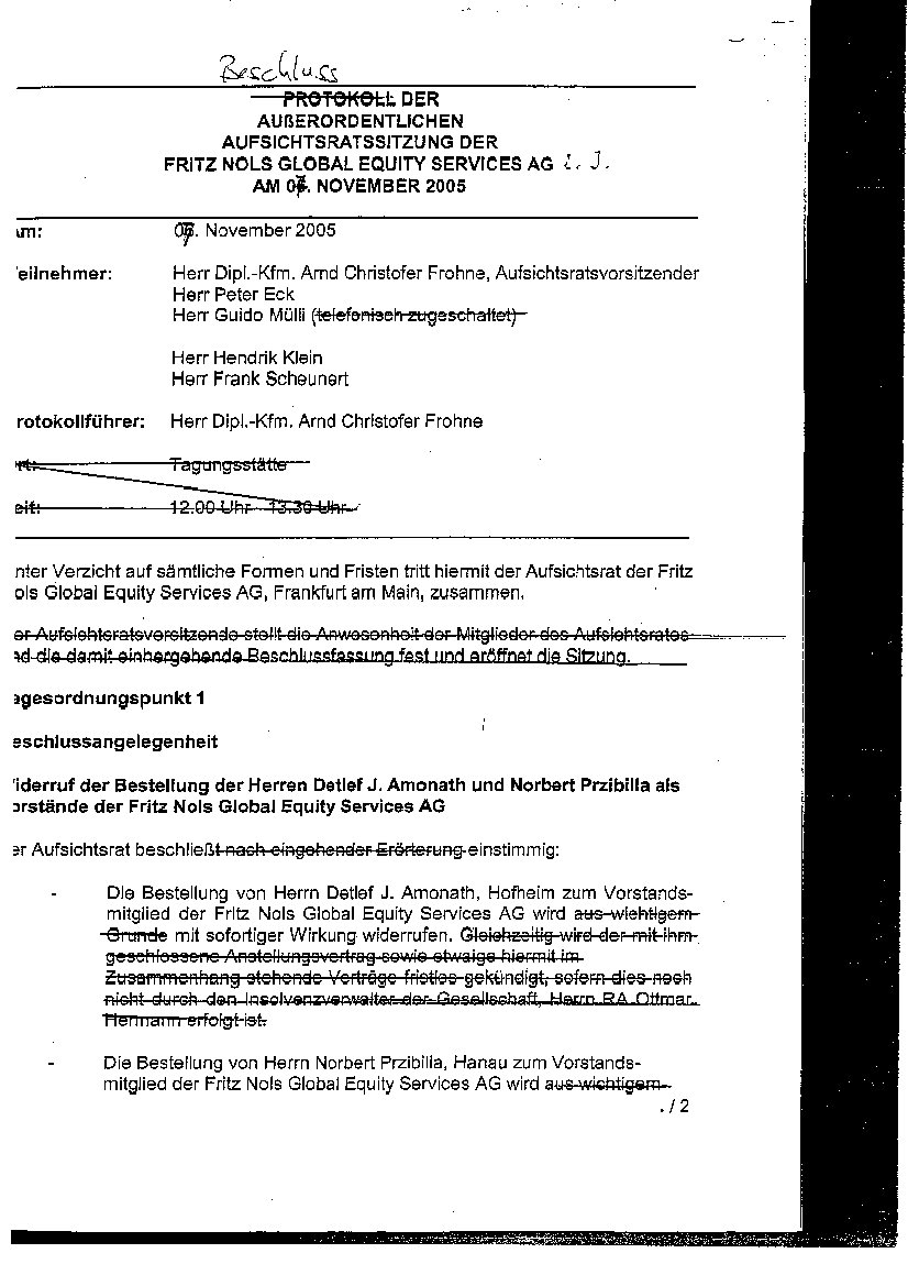
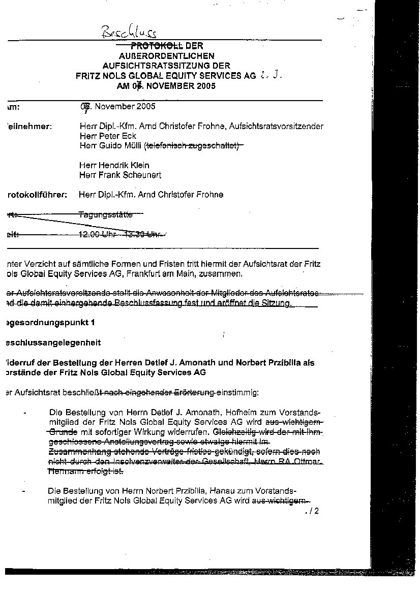
arbopa:

Seite 4 (immer noch Fritz Nols AG)

 
24.11.05 20:35
Soviel kostet es also, wenn man Vorstand einer börsennotierten Gesellschaft werden will ...
(Verkleinert auf 67%) vergrößern
Neuer AR und Vorstand bei der Fritz Nols AG o. T. 20521
Antworten
arbopa:

Seite 5 - jetzt wird es spannend ...

 
24.11.05 20:50
... schaut Euch das mal genau an, und überlegt, was es bis heute noch nicht gegeben hat!

Kleiner Hinweis: §106 AktG und vielleicht auch §84 AktG - wenn ich mir die Streichorgien im Beschluß so anschaue.
(Verkleinert auf 67%) vergrößern
Neuer AR und Vorstand bei der Fritz Nols AG o. T. 20523
Antworten
arbopa:

Seite 6 (Fritz Nols AG )

 
24.11.05 20:59
Und hier TOP 3 beachten: ich vermute mal, daß die Adhoc nicht wirklich vergessen wurde ...
(Verkleinert auf 67%) vergrößern
Neuer AR und Vorstand bei der Fritz Nols AG o. T. 20528
Antworten
Klaus_Dieter:

Aha, dieser ominöse Verein mal wieder auf

 
24.11.05 21:12
Mitgliederfang!

Die ID arbopa stammt aus dem inneren Kern dieses Verein ICG, der sich aus Spekulanten um die CBB Aktie entwickelt hat.

Dieser Verein hat bisher keinerlei Erfolge erzielen können. Machte mehr Aufsehen, durch innere Reibereien, mehrere Vereinsausschlüsse, darunter den damaligen 1.Vorsitzenden und Gründungsmitglied, sowie einer Panne nach der nächsten (zu spätes Stellen von Anträgen, gefälschte Faxe, etc). Zuletzt wurde dann auch der nächste 1. Vorsitzende harrsch kritisiert, und nun hat man wohl eine Dame, die wohl nie Zeit hat.

Zum Jahresende hat wohl ein grosser Anteil der sehr unzufriedenen Mitglieder, da ja wohl nur Pannen passieren ("ausser Spesen, nicht gewesen") schon vor Monaten gekündigt hat.Weiterhin gibt es ein aktives Mitglied, welches nahezu wöchentlich mit Austritt und klage droht.

Dieser nun so lächerliche "Verein", genannt ICG, der in einen sehr schlechten Gegen von Düsseldorf, seine sitz haben soll, wie hier von einem Arivaner berichtet wurde, will wohl mal wieder neue Mitglieder einfangen. Angeblich soll er auch schon WEC - consumers electronik- Aktionäre durch Versprechungen geködert haben. Gemacht, oder gar erreicht wird nie etwas, jedenfalls ist bisher nichts erreicht worden.
Der Mitgliedsbeitrag beträgt 90 Euro, ein Stimmrecht haben die neuen Mitglieder vorerst nicht!    
Antworten
Auf neue Beiträge prüfen
Es gibt keine neuen Beiträge.


Börsen-Forum - Gesamtforum - Antwort einfügen - zum ersten Beitrag springen
--button_text--