Anzeige
Meldung des Tages: Von der Entdeckung zu 1,7 Mrd. US-Dollar: Das SilverCrest-Playbook! Geht Pacifica Silver einen ähnlichen Weg?!
Neuester, zuletzt geles. Beitrag
Antworten | Börsen-Forum
Übersicht ZurückZurück WeiterWeiter
... 784  785  787  788  ...

2014 QV DAX-DJ-GOLD-EURUSD-JPY


Thema
abonnieren
Beiträge: 22.075
Zugriffe: 1.826.926 / Heute: 42
DAX 23.616,99 +1,19% Perf. seit Threadbeginn:   ---
 
lo-sh:

Wirtschaftliches heute

 
25.11.14 06:45
DE BIP, US BIP, ..  

de.investing.com/economic-calendar/

Laufende Nachrichten: www.boerse-go.de/jandaya/Ticker/Feed/#?

Livebörse und Signale: trading.boerse-stuttgart.de/
Antworten
lo-sh:

Politik und Gesellschaft heute

 
25.11.14 06:50
Putin: unterstützt nun französische Rechtsparteien ..
Iran: Atompoker der Mächte ..


edition.cnn.com/
Antworten
lo-sh:

GDAXi aktuell ..

3
25.11.14 06:53
Oben Deckel ..   Das DE BIP um 8:00 könnte den Vormittag entscheiden .. Wendepunkt 9770 - oberhalb long, unterhalb short ..
(Verkleinert auf 75%) vergrößern
2014 QV DAX-DJ-GOLD-EURUSD-JPY 775937
Antworten
lo-sh:

DJ aktuell ..

3
25.11.14 06:55
DJ ebenfalls gedeckelt, über der blauen Aufwärtslinie .. noch ..  Wendepunkt 17750 - oberhalb long, unterhalb short ..
2014 QV DAX-DJ-GOLD-EURUSD-JPY 775938
Antworten
lo-sh:

Aussagen BoJ selbige wie EZB ..

 
25.11.14 06:57
abgeschrieben .. ?

BoJ Minutes: Die Ausweitung der qualitativen und quantitativen Lockerung der Geldpolitik soll verhindern, dass Japan zur Deflation zurückkehrt.

BoJ Minutes: Schwacher Konsum nach der Steuererhöhung und sinkende Ölpreise haben negative Auswirkung auf die Teuerung.

BoJ Minutes: Die Geldpolitik muss weiter gelockert werden, um eine Inflation von 2% zu erreichen.

vor 20 Min (06:36) - Echtzeitnachricht
Antworten
DAXERAZZI:

BIP prognose

2
25.11.14 07:10
=== *** 08:00 DE/BIP 3Q (2. Veröffentlichung) kalender- und saisonbereinigt PROGNOSE: +0,1% gg Vq 1. Veröff.: +0,1% gg Vq zuvor: -0,1% gg Vq kalenderbereinigt PROGNOSE: +1,2% gg Vj 1. Veröff.: +1,2% gg Vj zuvor: +1,4% gg Vj ***  
Antworten
h007:

moin träders

2
25.11.14 07:31
Mo. einen long versucht, mit NULL raus ;-)

nicht mein Ding ...

heute vlt. endlich mal short  !

ville glick euch
Antworten
lo-sh:

Nikkei aktuell ..

3
25.11.14 07:33
BoJ impft Nikkei mit Geldspritzen bis er platzt .. ;-)  Wendepunkt 17400 - oberhalb long, unterhalb short ..
2014 QV DAX-DJ-GOLD-EURUSD-JPY 775945
Antworten
lo-sh:

EURUSD - Wendepunkt 1.2450 ..

2
25.11.14 07:45
2014 QV DAX-DJ-GOLD-EURUSD-JPY 775949
Antworten
hamburger59:

bei NTV eben

 
25.11.14 07:55
schon von bIP + 0,1 % gequatscht,,,,,doch schon eher veröffentlicht?
Antworten
simba0477:

BIP

 
25.11.14 08:21
Deutschland: BIP im dritten Quartal (2. Veröffentlichung) +1,2% nach +1,0% im Vorquartal (y/y).

Deutschland: BIP im dritten Quartal (2. Veröffentlichung) +1,2% nach +1,0% im Vorquartal (y/y).


Deutsche Wirtschaft wächst im dritten Quartal

www.boerse-go.de/nachricht/...im-dritten-quartal,a3969023.html
Antworten
simba0477:

so jetzt aber

 
25.11.14 08:22
Deutschland: BIP im dritten Quartal (2. Veröffentlichung) +0,1%. Erwartet wurden +0,1% nach -0,1% im Vorquartal (q/q).

Deutschland: BIP im dritten Quartal (2. Veröffentlichung) +1,2% nach +1,0% im Vorquartal (y/y).


Deutsche Wirtschaft wächst im dritten Quartal

www.boerse-go.de/nachricht/...im-dritten-quartal,a3969023.html
Antworten
DAXERAZZI:

Roccos theoretische Ziele auf der Oberseite

3
25.11.14 08:28
Der DAX zieht zum Jahreschluss nach oben durch. Es gibt noch einige theoretische Ziele auf der Oberseite. Hier die neueste DAX Tagesprognose...
------
Widerstand: 9815 + 10000 + 10050

Unterstützung: 9685 + 9555 + 9510/9525
-----
Rückblick: 9800 ist ein altbekannter Widerstand des Jahres 2014. Der DAX erinnerte sich gestern daran.
-----
DAX Chartanalyse:

Ausgehend von 9800/9830 sind Konsolidierungen bis 9685 und 9555 bzw. 9510/9525 möglich.
Danach steigt es in vielen Varianten zum Wochenschluss hin auf neue Monatshochs an, z.B. bis auf 10000/10050.

Über 9835 ist mit dem direkten Anlaufen von 9900, 10000 und 10050 zu rechnen.

Bärisch wird es erst unter 9380.

Fazit: Tagesrange 9685 zu 9830 erwartet.

Quelle godmodetrader.de
Antworten
tolbi:

lo-sh

 
25.11.14 08:48
haben wir hier ein engulfing ???
wäre ja die richtung erstmal abwärts oder?
(Verkleinert auf 42%) vergrößern
2014 QV DAX-DJ-GOLD-EURUSD-JPY 775961
Antworten
SAKU:

Moin Traderz!

2
25.11.14 09:02
Hurra, ich lebe noch!

SL bei 767 (ich bin immer wieder fasziniert, dass ne Vollhupe wie meinereiner ähnliche Marken hat wie lo-sh) wurde gestern nicht volley genommen. Was bleibt... die 800 sind so ne psüscholoogischä Marke, die 822 als "alte" und die 833 als "neue" oben.

Nach unten hab ich ne Linie bei 790 (steigend) und die 71, dann ide 50er (KO-Futter für die Emmis) & dann die 710er als Marke.

Die Indis sind immer noch ziehmlich warm - auch wenn sie sich im Vergleich zu gestern durch das Seitwärtsgeschiebe n büschn erholt haben (wobei ein RSI im 60er von knapp 70 nicht wirklich erholt ist sondern nur kurz mal verschnauft)...

Die Linie bei 790 wurde im 60er gerade so gedingst & is jetzt ne Linie nach oben bei 803. Alles in allem eher down als up.

Hurra, ich lebe noch? Jo, aber wer weiß, wie lange noch *g*

Ich muss jetzt erst mal n Kaffee gurgeln und über die Situation meditieren. Glücklicherweise steckt in dem abgesicherten Long ein (Gesamt)depotrisiko von (nicht auf die letzte Nachkommastelle schauen, ich hab's überschlagen *g*): 0,3333333333333333333%
Doppel-ID, Doppel-D, alles eine Baustelle!
Antworten
DAXERAZZI:

Roccos Erläuterung im Video

3
25.11.14 09:09
1. Erstkontakt 9800 = Widerstandsmarke 2014 = Abprall wahrscheinlich
2. Montagskäufer werden 2 Tage bestraft mit Konsolidierungen
3. Dax fällt in 2-3 Schritten bei 9772 - dann 9685 - bis 9550 - da gute Chancen, per Anstieg dauerhaft die 9800 zu überbrücken - denn da muss er zum Gegenschlag ausholen für die Rallye Richtung 10.050!
5. Fällt er nur eine Sekunde unter 9380 - ist die Rallye unterbrochen

Antworten
h007:

hello

 
25.11.14 09:23
bin geneigt long zu gehen

Vorsicht also, wenn ich longe geht es meist down ...
v g  
Antworten
ich10000:

na ich denke, dass die

 
25.11.14 09:25
große Ralley erstmal vorbei ist
Antworten
individual:

short

2
25.11.14 09:30
Ich bin short zu 9804.
Antworten
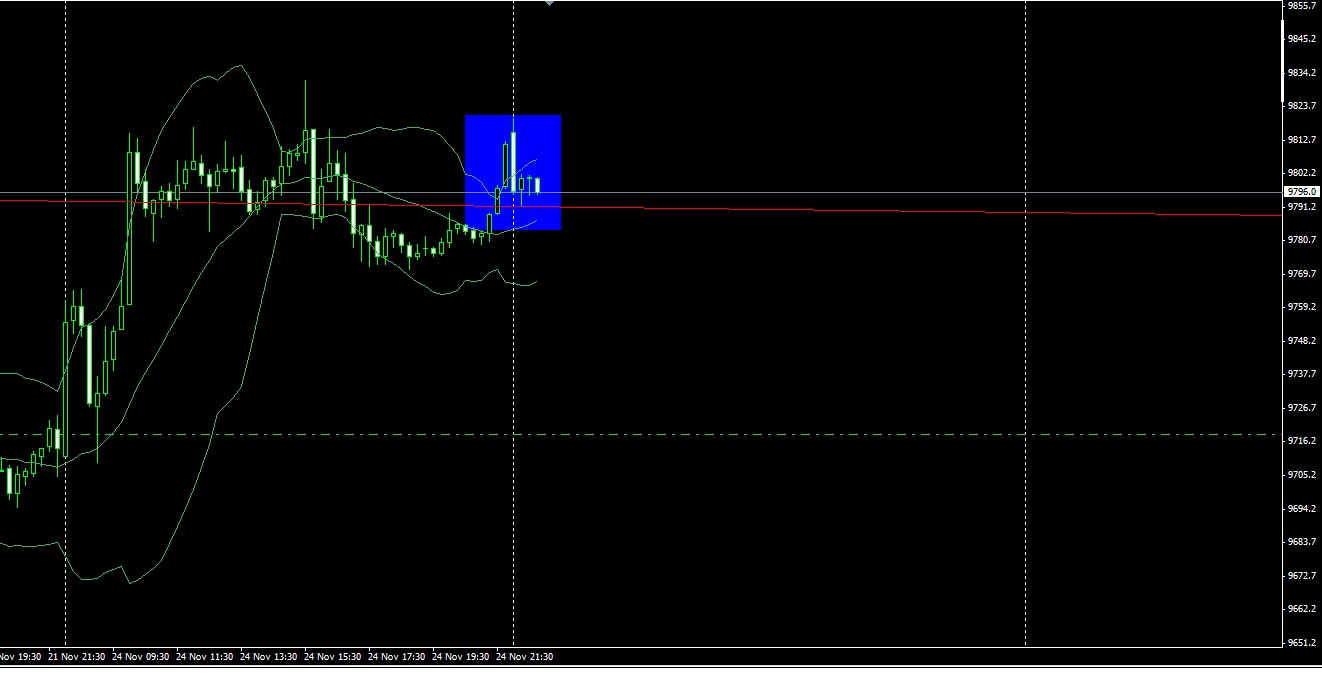
lo-sh:

GDAXi - seitwärts ..

 
25.11.14 09:34
tolbi: lo-sh   08:48 #19639  
Kann rauf als auch runter gehen .. Wie immer .. ;-)  
(Verkleinert auf 75%) vergrößern
2014 QV DAX-DJ-GOLD-EURUSD-JPY 775968
Antworten
nx1408:

@h007

2
25.11.14 09:35
Würde erst ab ca. 9830 Long Posis aufbauen, wenn Du sicher gehen willst.
Befinden uns noch am 9800er Widerstand, der hält noch Bombenfest.
Denke es muss erstmal ne kleine Konso bis ca. 9700 kommen,
damit unser Daxi genug Kraft hat den starken Widerstand bei 9800 nachhaltig
zu überwinden.
Antworten
lo-sh:

DJ - wenig Bewegung ..

 
25.11.14 09:37
Meine Meinung ist, wenn sich nix bewegt, braucht man auch nix schiessen .. ;-)
2014 QV DAX-DJ-GOLD-EURUSD-JPY 775970
Antworten
lo-sh:

Nikkei wird bald spannend und muss sich

 
25.11.14 09:38
entscheiden ..
2014 QV DAX-DJ-GOLD-EURUSD-JPY 775972
Antworten
lo-sh:

USDJPY hat jedenfalls die Aufwärtslinie

 
25.11.14 09:40
durchbrochen ... Es scheint also vorerst mal etwas runterzugehen ..  Mal abwarten ..
2014 QV DAX-DJ-GOLD-EURUSD-JPY 775973
Antworten
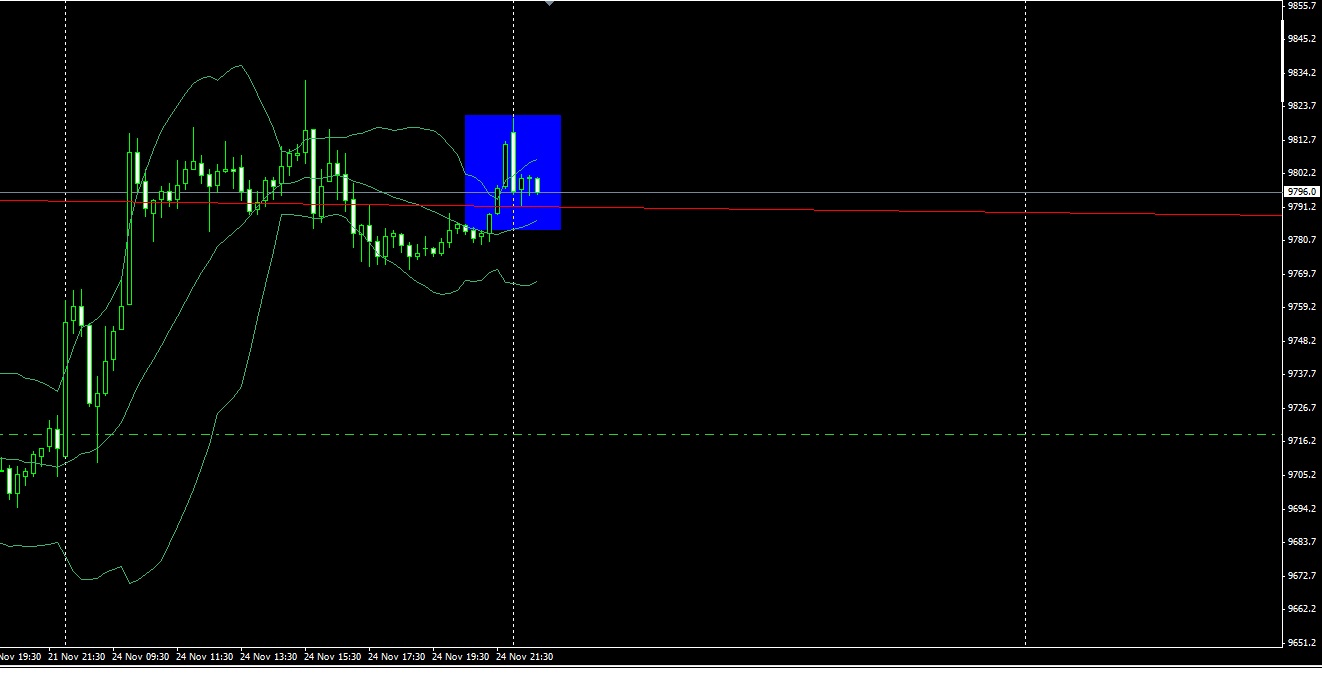
lo-sh:

GDAXi - soviel zum Bauchgefühl .. :-)

2
25.11.14 09:57
(Verkleinert auf 75%) vergrößern
2014 QV DAX-DJ-GOLD-EURUSD-JPY 775983
Antworten
Auf neue Beiträge prüfen
Es gibt keine neuen Beiträge.

Seite: Übersicht ... 784  785  787  788  ... ZurückZurück WeiterWeiter

Börsen-Forum - Gesamtforum - Antwort einfügen - zum ersten Beitrag springen
1 Nutzer wurde vom Verfasser von der Diskussion ausgeschlossen: MalakoffKohlaEufi

Neueste Beiträge aus dem DAX Index Forum

Wertung Antworten Thema Verfasser letzter Verfasser letzter Beitrag
101 38.945 QuoVadisDax - das Original - Nachfolgethread MHurding MHurding 04:11
75 8.280 Banken in der Eurozone lars_3 youmake222 16.03.26 22:00
57 2.144 2026-QV-GDAXi-DJ-GOLD-EURUSD-JPY lo-sh Zambo 16.03.26 19:43
9 858 Beiersdorf wird vermutlich Byoersolany newson 16.03.26 17:16
328 314.695 COMMERZBANK kaufen Kz. 28 € semico Highländer49 16.03.26 13:02

--button_text--