Eine Diskussion ist ein Gespräch, indem man von Einander lernen kann. Das ist leider hier nicht immer nicht möglich.
Danke Dir für Deine Erklärungen und Ausführungen.
|
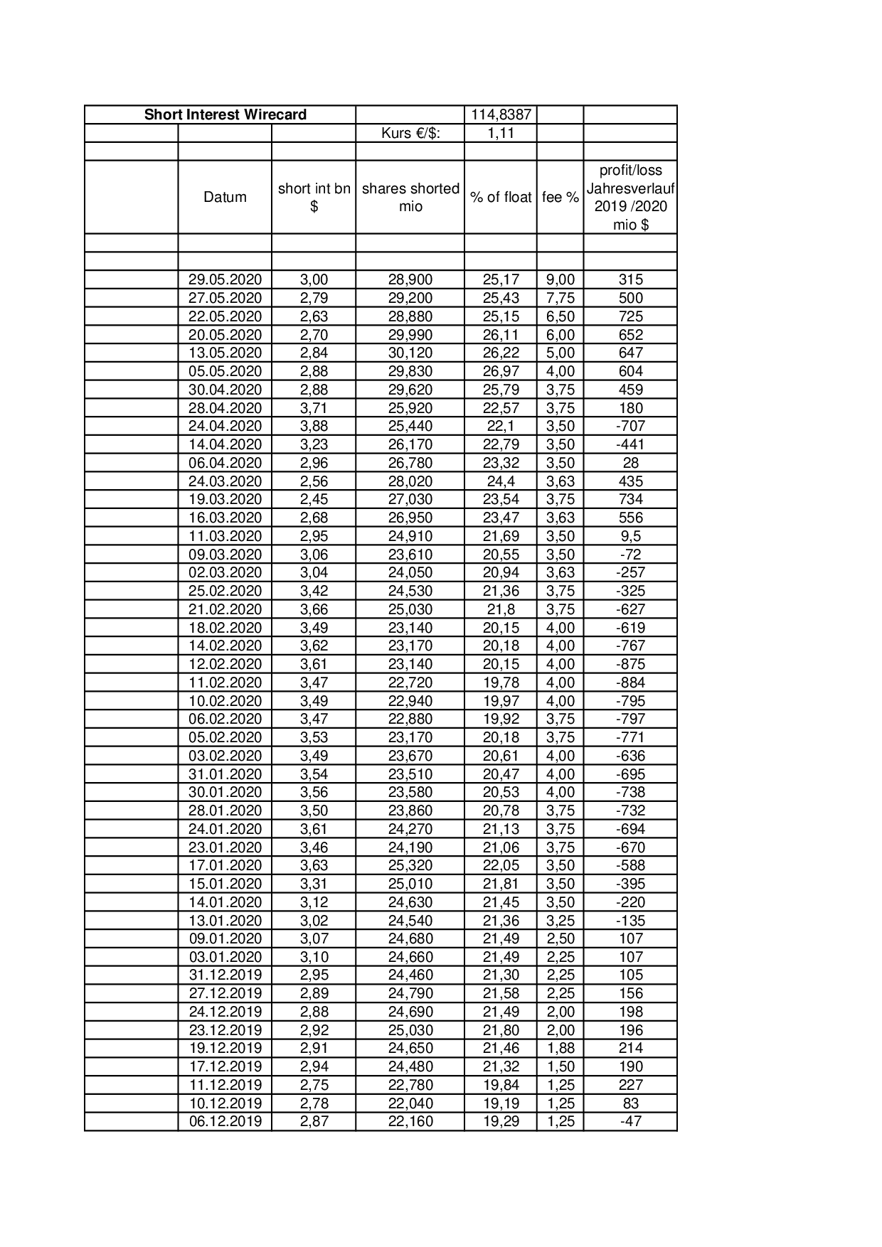
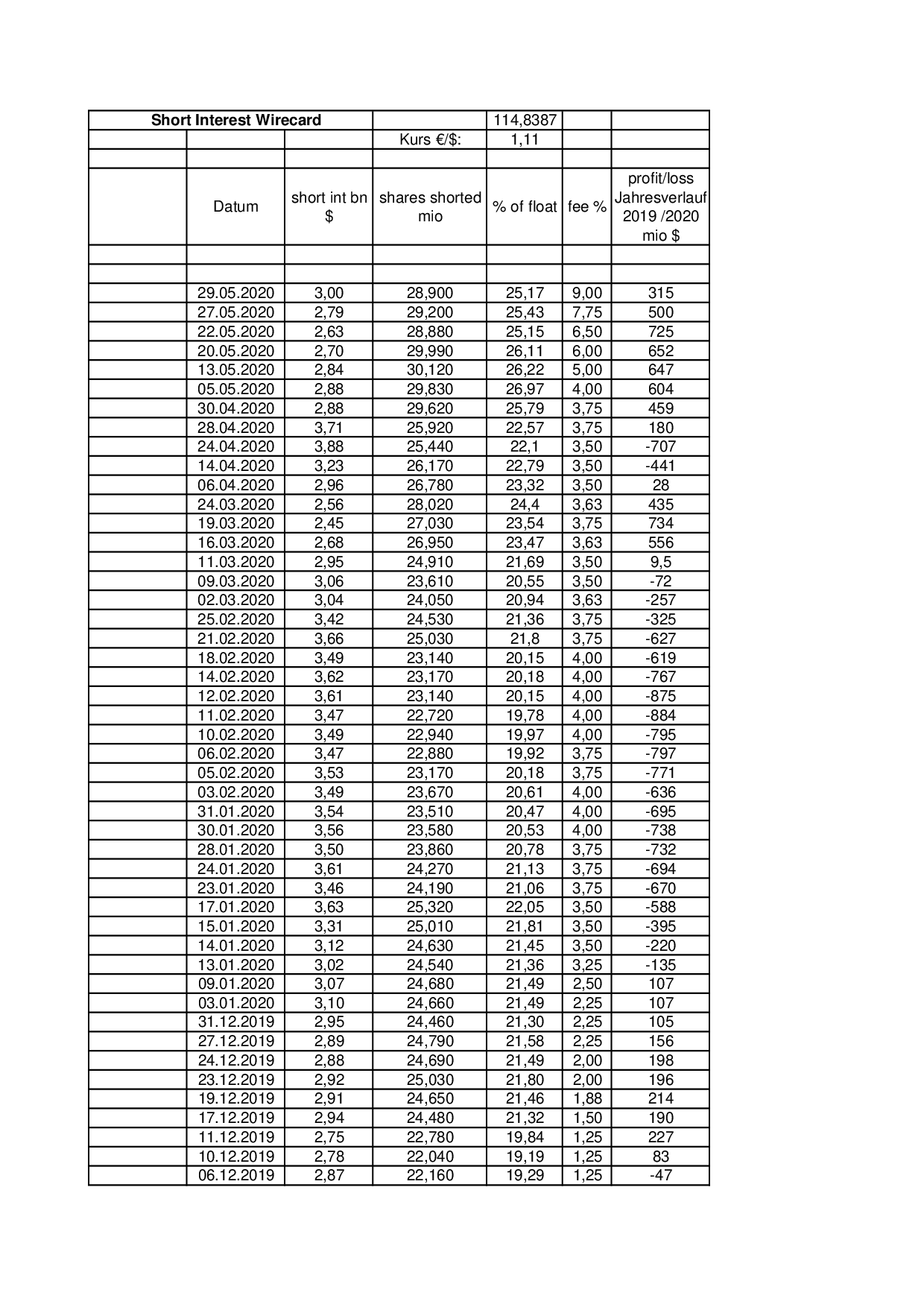
9% borrow fee? Bei 4% geht das noch klar, aber 9% ?
Welcher Idiot geht jetzt noch Short?
The stock loan fee amount depends on the difficulty of borrowing a stock – the more difficult it is to borrow, the higher the fee!
Traders should carefully consider the risk-to-reward ratio of trades in terms of associated fees before implementing a short sale strategy. 
....@Heizschnucke
Und hinzukommt, dass sich die Kaufstücke auch noch in Millisekunden verändern. Zum Beispiel Equinet. Dort sieht man Stückzahlen von 100 oder 500 oder sogar 1000 Stück oder mehr. Aber dahinter sind weitere Stücke die man erst sieht, wenn der Kurs gehandelt wird. Anders ist ein Handel von zb durchschnittlich 10.000 Stück in 10 Minuten nicht möglich.
Das ist nichts neues oder ein Handel von Millisekunden, sondern dahinter stecken sogenannte "Iceberg Orders" die von Institutionellen genutzt werden. Da wird nur ein kleiner Teil, welcher vom Käufer/Verkäufer festgelegt wird, angezeigt. Der Rest der Order bleibt auch im offenen Orderbuch verborgen. Dadurch entsteht dann dass wenig angezeigt wird und plötzlich 10T oder noch viel mehr gehandelt werden.
www.xetra.com/xetra-de/handel/ordertypen/...rtypen-und-quotes
|
| Wertung | Antworten | Thema | Verfasser | letzter Verfasser | letzter Beitrag | |
| 191 | 187.536 | Wirecard 2014 - 2025 | Byblos | lehna | 14:42 | |
| 22 | 20.217 | Meine Wirecard-Gewinne - Thread! | BorsaMetin | Meimsteph | 02.03.26 23:04 | |
| 3 | 777 | Ex Polizeipräsident | Stronzo1 | Meimsteph | 14.12.25 18:47 | |
| 10 | 2.454 | Sammelklagen Wirecard! Wer ist dabei? | mrymen | kahavog | 04.08.25 21:33 | |
| 797 | das Portfolio | der Portfolio_Thre. | der Portfolio_Thread | 08.01.24 16:43 |