Anzeige
Meldung des Tages: Erste Psilocybin-Behandlungen laufen – warum steht Optimi noch bei Pennystock-Level?!
Neuester, zuletzt geles. Beitrag
Antworten | Börsen-Forum
Übersicht ZurückZurück WeiterWeiter
... 4599  4600  4602  4603  ...

QV ultimate 2012


Beiträge: 116.360
Zugriffe: 6.052.854 / Heute: 376
erstdenkenda.:

jandaa

4
28.12.12 17:14
Fiskalklippe: Bloomberg TV berichtet, dass der Plan von Obama eine Verlängerung der auslaufenden Steuersenkungen für alle Steuerklassen, außer für Top-Verdiener vorsieht.
Antworten
Shotman:

Na dann bleibt die Frage, wer ist Top-Verdiener?

2
28.12.12 17:17
ich bin es leider nicht ;-(
Antworten
zara-baha:

shotman..

3
28.12.12 17:18
nach dem gefängnis ist vor dem gefängnis...

hast du ja in dem film wallstreet II gesehen....
Antworten
zara-baha:

also wenn obama jetzt

 
28.12.12 17:21
nachgibt, wo er die jetzt alle bangster an den eiern hat.....wird er der maionette von den bleiben!!!
Antworten
erstdenkenda.:

ach ja ....

3
28.12.12 17:22
Bundestagspräsident Lammert hat vom Bundesfinanzministerium in Zukunft klarer ausformulierte Anträge für mögliche weitere Finanzhilfen zugunsten bedürftiger Euro-Staaten gefordert. Die unübersichtliche Gestaltung des am 30. November beratenen Antrags zur Freigabe von Hilfskrediten an Griechenland habe zu Missverständnissen geführt.

jandaya
Antworten
erstdenkenda.:

jandaya

3
28.12.12 17:24
Obama wird beim Treffen mit Kongress-Führern heute Abend angeblich einen abgespeckten Kompromissvorschlag präsentieren. Genauere Details sind nicht bekannt.
Antworten
frubiasesport:

Der ist sowieso die marionette der hochfinanz

3
28.12.12 17:24
Antworten
zara-baha:

herr lammert

 
28.12.12 17:26
das geht auch ohne formulare....nur die politische wille über unserer demokratie muß da sein...

da hat ja bundestag &-rat und bgh keine grenzen
Antworten
Helmut666:

@Shotman

6
28.12.12 17:26
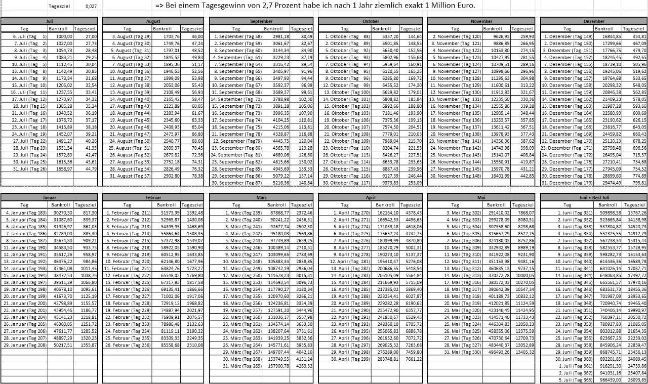
hier haste einen vernünftigen gewinnplan,mußte halt nur für das jahr anpassen,einfach nur erfüllen und schon haste den höchststeuersatz.

wenn du das 2 jahre durchhälst biste milliardär,ist ganz einfach.

sind nur 27 punkte am tag mit einen ca 2 euroscheinchen.
(Verkleinert auf 43%) vergrößern
QV ultimate 2012 564948
Antworten
zara-baha:

helmut

3
28.12.12 17:29
ich bin auch mit 1,7% einverstanden....wie lange brauche ich dann
Antworten
Shotman:

@Eddl: die Frage wird sich aber trotzdem darum

2
28.12.12 17:34
drehen, ob sich die Republikaner selbst untereinander einigen und Steuererhöhung (egal ab welcher Gehaltssumme) zustimmen - oder Herr O. verlängert alles und geht von seinem Plan der Erhöhung für "Top-Verdiener" ganz ab - die machen es sicherlich spannend und werden es zum Schluss um die von Geithner vorgeschlagenen 2 Monate "hinausschieben" - ist ja fast wie im Berufsleben - ups, unser Kollege wurde ja plötzlich 65, das konnte ja keiner vorhersehen ;-)

@Helmut: hättest ja wenigstens fragen können, bevor du "meinen" Plan hier einstellst ;-)
werde es gleich mal ab 2. Januar testen - kann ich jemanden "haftbar" machen, wenn es schief geht?
Antworten
zara-baha:

shotman..

 
28.12.12 17:37
ich bin überzeugt, dass du die 999.999.€ schafst....und dann kommt flashCrash ..

die werden nie zulassen dass du die million machst...der markt wird nur gegen dich arbeiten
Antworten
erstdenkenda.:

ist doch lächerlich alles eine Branche

 
28.12.12 17:41
Die Werte mit dem derzeit höchsten Handelsvolumen sind Facebook (22,2 Mio, -2,30%), Research in Motion (17,03 Mio, +0,94%) und Nokia (14,29 Mio, -3,12%

jandaya
Antworten
Shotman:

@zara: dann lass ich es meine Frau machen, die

2
28.12.12 17:42
kennt sich mit "Geld verbrennen" aber gleichzeitig die Wirtschaft ankurbeln ganz gut aus und wird es daher auch nie zulassen, dass ich mal die Million schaffe ;-)

Oder meine Kinder, die kennen sich auch damit aus, wie man neues Spielzeug kaputt macht, damit man wieder neues kaufen kann ;-) und verhintern somit auch, dass ich die Million schaffe ;-)

Aber ich werde es denen allen zeigen - mein Vorsatz für das Jahr 2013!
Antworten
zara-baha:

erste...

 
28.12.12 17:44
die wollen cash machen.... jetzt oben verkaufen und im frühjahr unten wieder sammeln
Antworten
zara-baha:

shotman..

 
28.12.12 17:46
hast du meine volle unterstützung....so fühle ich mich auch!!!

ich werde auch den allen zeigen..;-)   ich schwör
Antworten
erstdenkenda.:

@zara: denke ich auch nur sie könnten

 
28.12.12 17:50
mal anfangen ... unten wäre viel viel tiefer ... (und günstiger)
Antworten
erstdenkenda.:

übrigens ... wer Zeit hat kann mir mal erklären

 
28.12.12 17:52
wie man 16400 Mrd Dollar Schulden eigentlich umschifft .... hi hi hi
Antworten
sigmund:

der harken an dem Gewinnplan

2
28.12.12 17:53
ist nur, das um so höher das Eigenkapital wird, es immer schwerer wird die 2,7% Tagesziel zu erreichen.Das war es auch warum "der Forex Millonär", am Schluß des Jahres auch nur "77000,-Euro" gemacht hat. Trotzdem meinen Respekt, er hat immerhin aus 1000 - 77000  gemacht. Schafft auch nicht jeder.

Gruß Sigmund
Antworten
ElCondor:

@shotman

 
28.12.12 17:54
kann mir nicht vorstellen wie dieser Plan Funktionieren soll.Um Linear bei x% jeden Tag dieses Ziel zu erreichen, müsste auch das Gesamte Kapital eingesetzt werden.
Bsp. Bei einem Guthaben von etwa 30000 mit dem Tagesziel c.800. Theoretisch interessant,praktisch eher nicht.Da kann ich auch bei Verlusten den Einsatz verdoppeln.
Alles sehr gefährlich
Nur wer das Unmögliche versucht,kann das Mögliche erreichen.
Keine Empfehlung zum Kauf oder Verkauf
Antworten
zara-baha:

erste...

 
28.12.12 17:54
würde ich ja gerne erklären...aber wenn ich bloss wüßte  wie viele nullen ich hätte
Antworten
erstdenkenda.:

beide 5er Dreieck hinten raus ... nach oben

 
28.12.12 17:54
wo sonst
Antworten
erstdenkenda.:

ach mit den nullen ist einfach

 
28.12.12 17:55
16400000000 Millionen
Antworten
lausi one:

Vor der Präsentation

2
28.12.12 17:56

des Kompromissvorschlags Obamas wird sich beim Dow nicht viel tun. Die 13000 und damit auch die 7600 beim Dax halten vorerst.

Antworten
zara-baha:

el condor

 
28.12.12 17:57
es ist zu schaffen aber nicht als mensch sondern nur als machine.....der handelt ohne emotionen und hat auch disziplin
Antworten
Auf neue Beiträge prüfen
Es gibt keine neuen Beiträge.

Seite: Übersicht ... 4599  4600  4602  4603  ... ZurückZurück WeiterWeiter

Börsen-Forum - Gesamtforum - Antwort einfügen - zum ersten Beitrag springen
--button_text--